How Do You Solve Integrals of the Form exp(ax^q) When q Is Not 1?

  • Thread starter Thread starter maobadi
  • Start date Start date
  • Tags Tags
    Integral
Click For Summary

Homework Help Overview

The discussion revolves around solving integrals of the form exp(ax^q) where q is not equal to 1. Participants are exploring the complexities involved in integrating such expressions and the potential connections to known integral forms.

Discussion Character

  • Exploratory, Conceptual clarification, Mathematical reasoning

Approaches and Questions Raised

  • Some participants suggest that the integral may relate to elliptic or exponential integrals, while others question the validity of certain transformations and the existence of a general method for integration when q is not 1.

Discussion Status

The discussion is ongoing, with participants sharing different insights and approaches. There is mention of specific integral forms found in computational tools, but no consensus on a definitive method has been reached.

Contextual Notes

Participants note the challenge posed by the variable q, emphasizing that it complicates the integration process. There is also a reference to the need for careful consideration of transformations and assumptions in the problem setup.

maobadi
Messages
22
Reaction score
0
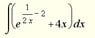
Please help. How do you solve this
attachment.php?attachmentid=17226&stc=1&d=1232309454.jpg
 

Attachments

  • integral.jpg
    integral.jpg
    2.3 KB · Views: 479
Physics news on Phys.org
This seems to involve the elliptical integral according to maple...
 
Hi,
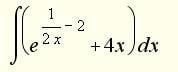
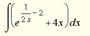
First, separate out the easy parts; write the integrand as:

(1/e2)e1/(2x) + 4x

Integrate 4x separately, = 2x2

Lookup the integral of e1/(2x) (! I found it on Mathematica, here:

http://integrals.wolfram.com/index.jsp?expr=E^(1/(2x))&random=false"

!)

Your result will be (1/e2)[The integral you found...] + 2x2

BTW: Wolfram/Mathematica does find that the answer includes a so-called "Exponential Integral".
 
Last edited by a moderator:
Oops I meant exponential not elliptical :)
 
The bigger question is how to solve an integral exp(ax^q) where q isn't null and isn't 1, I don't think there's a prescription to it.
are you sure it shouldn't be xexp(1/x), cause this can be computed by changing 1/x=u and a series change.
 

Similar threads

Replies
3
Views
2K
  • · Replies 7 ·
Replies
7
Views
3K
  • · Replies 4 ·
Replies
4
Views
2K
  • · Replies 6 ·
Replies
6
Views
2K
  • · Replies 11 ·
Replies
11
Views
2K
Replies
4
Views
2K
  • · Replies 6 ·
Replies
6
Views
2K
Replies
2
Views
1K
  • · Replies 5 ·
Replies
5
Views
2K
  • · Replies 5 ·
Replies
5
Views
2K