How Does Mass and Inertia Affect Tension in a Pulley System?

Click For Summary

Homework Help Overview

The discussion revolves around a physics problem involving a pulley system with a mass hanging from a string, a pulley with mass, and a spring. Participants are tasked with finding the maximum velocity of the mass while considering the effects of mass and inertia on tension within the system.

Discussion Character

  • Mixed

Approaches and Questions Raised

  • Participants explore the relationship between tension, mass, and the moment of inertia of the pulley. Questions arise regarding the conditions under which tensions are equal and the implications of the pulley having inertia. Some participants attempt to reconcile the forces acting on the system, while others question the assumptions made about tension in the presence of friction and mass.

Discussion Status

The discussion is active, with participants providing insights into the dynamics of the system. Some guidance has been offered regarding the relationship between angular and linear acceleration, as well as the conditions for tension equality. Multiple interpretations of the problem are being explored, particularly concerning the effects of inertia and friction.

Contextual Notes

Participants note that the problem involves a massless string and a spring that is initially at its natural length. There is also a lack of information regarding the radius of the pulley, which may influence the calculations. The discussion reflects on the complexities introduced by the moment of inertia and the nature of the forces involved.

dumbdumNotSmart
Messages
41
Reaction score
3

Homework Statement


Hey guys. The other day I was doing some physics questions, studying for the finals, you know the story. Me and my friend came across this physics question where:

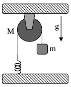
There is a particle of mass 2kg (m) hanging by a mass-less string that went around a pulley with mass 4kg (M) and is attached to a vertical spring of spring constant 100Nm (k). The moment of inertia of the pulley is given as follows, I=(.5)(M)(R^2)
We must find the maximum velocity of the mass assuming the system begins at rest, that is no movement and the spring at its natural length.
Capture.PNG

NOTE: R is not given

Homework Equations


F=ma
v=ωR
change of Potential Energy = Change in kinetic energy

The Attempt at a Solution


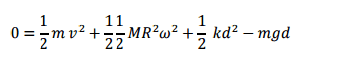
Since energy is conserved:
Capture.PNG

where d is distance dropped (traveled by a point on the string)
Considering the string does not slide relative to the pulley: v=ωR
Knowing the forces in action: mg-T=ma and t-kd=ma (T and t are tensions on different sides of the pulley)
We look at the point in time where the acceleration is 0 (maximum velocity), thus
mg=T and t=kd

This is where I get stuck, conceptually. If I set t=T then I manage to get the answer simple enough. However, why is T=t if the pulley has moment of inertia?!
 
Physics news on Phys.org
dumbdumNotSmart said:

Homework Statement


Hey guys. The other day I was doing some physics questions, studying for the finals, you know the story. Me and my friend came across this physics question where:

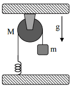
There is a particle of mass 2kg (m) hanging by a mass-less string that went around a pulley with mass 4kg (M) and is attached to a vertical spring of spring constant 100Nm (k). The moment of inertia of the pulley is given as follows, I=(.5)(M)(R^2)
We must find the maximum velocity of the mass assuming the system begins at rest, that is no movement and the spring at its natural length.
View attachment 92040
NOTE: R is not given

Homework Equations


F=ma
v=ωR
change of Potential Energy = Change in kinetic energy

The Attempt at a Solution


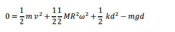
Since energy is conserved: View attachment 92044
where d is distance dropped (traveled by a point on the string)
Considering the string does not slide relative to the pulley: v=ωR
Knowing the forces in action: mg-T=ma and t-kd=ma (T and t are tensions on different sides of the pulley)
We look at the point in time where the acceleration is 0 (maximum velocity), thus
mg=T and t=kd

This is where I get stuck, conceptually. If I set t=T then I manage to get the answer simple enough. However, why is T=t if the pulley has moment of inertia?!
T ≠ t if the pulley has friction. I don't think that, if the pulley has non-zero inertia, this will influence the tension in the line wrapped around it. The inertia does influence the velocity of the mass attached, since some potential energy will be used to get the pulley to start moving from rest.
 
Are you saying that the only case where the tensions are equal is when there is no friction between the string and the pulley? Furthermore, how come when there is mass attached to each end of the string, on a frictionless pulley, the tensions are not equal?
 
dumbdumNotSmart said:
Are you saying that the only case where the tensions are equal is when there is no friction between the string and the pulley?
I'm not saying that's the only case. But if you look at a free body of a frictionless pulley, the tensions on each side must be equal, otherwise, there is motion occurring as the imbalance in tension force will cause the pulley to rotate, due to the creation of a torque.

In the present problem, one end of the line around the pulley is not tied to a fixed point, but to a spring which is initially not loaded. After the mass is released, the spring will stretch due to the motion of the mass; all the pulley does is change the direction of the motion of the line as it wraps around the pulley.

Furthermore, how come when there is mass attached to each end of the string, on a frictionless pulley, the tensions are not equal?
Which pulley?

The tensions may not be equal depending on the motion of the masses and their arrangement on the pulley.

If the masses are stationary and equal on a frictionless pulley, then the tensions must be equal, from equilibrium considerations.
 
The tensions are not equal. The pulley wheel has inertia, and is experiencing angular acceleration. You need to do a moment balance on the pulley. This moment balance will involve T and t. The net torque is equal to the moment of inertia times the angular acceleration. How is the angular acceleration of the pulley related kinematically to the linear acceleration of the mass m?

Chet
 
Hey Chet. Since the rope does not slide, a=αR. If the tensions are not equal, how come when a=0 (Vmax) you get the relation d(extension of the spring)=mg/k(constant of the spring)? If I'm not mistaken that comes from mg-T=0 and T-kd=0. Does d=mg/k come from another equation?
 
dumbdumNotSmart said:
Hey Chet. Since the rope does not slide, a=αR. If the tensions are not equal, how come when a=0 (Vmax) you get the relation d(extension of the spring)=mg/k(constant of the spring)? If I'm not mistaken that comes from mg-T=0 and T-kd=0. Does d=mg/k come from another equation?
No. That's all correct. When the downward displacement of m is d, the acceleration is zero, and the velocity is maximum. Then you can substitute that displacement into the energy equation from your first post to get the maximum velocity. The only other thing you need to know is ω =v/R.

I also solved this problem using the force and moment balances (with non-zero acceleration) and got the same results.

Chet
 
  • Like
Likes   Reactions: dumbdumNotSmart

Similar threads

  • · Replies 22 ·
Replies
22
Views
3K
  • · Replies 23 ·
Replies
23
Views
3K
  • · Replies 15 ·
Replies
15
Views
7K
  • · Replies 10 ·
Replies
10
Views
5K
  • · Replies 3 ·
Replies
3
Views
2K
  • · Replies 6 ·
Replies
6
Views
9K
  • · Replies 40 ·
2
Replies
40
Views
5K
  • · Replies 30 ·
2
Replies
30
Views
4K
  • · Replies 33 ·
2
Replies
33
Views
3K
  • · Replies 26 ·
Replies
26
Views
3K