How to calculate the area under a curve

Click For Summary

Discussion Overview

The discussion revolves around calculating the area under a curve defined by the equation x^3 + y^3 - 3axy = 0, specifically for the case when a is set to 1. Participants explore methods for determining the area of the loop formed by this curve, including the use of definite integrals.

Discussion Character

  • Exploratory, Technical explanation, Debate/contested, Mathematical reasoning

Main Points Raised

  • One participant inquires about calculating the area of the loop for the equation x^3 + y^3 - 3axy = 0 when a is 1.
  • Another participant suggests that using a definite integral could yield the area of the loop, but does not confirm this as a definitive method.
  • A third participant identifies the curve as the Folium of Descartes and references external material for further reading.
  • A later reply challenges the idea of integrating a single function to find the area, stating that separate functions for the top and bottom parts of the loop are necessary due to their differing behaviors.

Areas of Agreement / Disagreement

Participants do not reach a consensus on the method for calculating the area under the curve, with differing views on the necessity of using multiple functions for integration.

Contextual Notes

There are unresolved considerations regarding the specific functions to be used for integration and the conditions under which the area can be accurately calculated.

JG FRANKO
Messages
3
Reaction score
1
I was doing some integral exercises for getting area under the function. I was doing only more simple stuff, like functions that don't go over the same "x area" multiple times, like a quadratic function. My question is how to calculate area of a loop in an equation x^3+y^3-3axy=0 if let's say a is 1.

Thank you for your answers in advance
 
Physics news on Phys.org
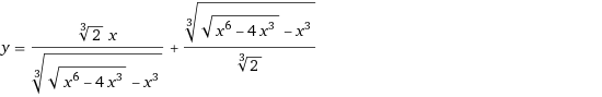
If I create a function out of this equation, I get
gif&s=37.gif

Would the answer be correct, if I would use a definite integral to integrate this function to get the area of the loop?
gif&s=40.gif
 
  • Like
Likes   Reactions: Nucleus _Basalis
  • Like
Likes   Reactions: Nucleus _Basalis and Buffu
JG FRANKO said:
If I create a function out of this equation, I get
View attachment 207587
Would the answer be correct, if I would use a definite integral to integrate this function to get the area of the loop?
View attachment 207588

The function you have will certainly won't give you the answer if you integrate it alone. You need a function for top part of the loop and one for the bottom part of the loop. On the top part the function is increasing and decreasing on the bottom part.
 
  • Like
Likes   Reactions: Nucleus _Basalis

Similar threads

  • · Replies 2 ·
Replies
2
Views
3K
  • · Replies 2 ·
Replies
2
Views
2K
  • · Replies 11 ·
Replies
11
Views
2K
  • · Replies 3 ·
Replies
3
Views
3K
  • · Replies 2 ·
Replies
2
Views
4K
  • · Replies 5 ·
Replies
5
Views
4K
  • · Replies 3 ·
Replies
3
Views
2K
  • · Replies 2 ·
Replies
2
Views
2K
  • · Replies 24 ·
Replies
24
Views
4K
  • · Replies 20 ·
Replies
20
Views
4K