How to find time period of SHM from equation of motion?

Click For Summary

Homework Help Overview

The discussion revolves around finding the time period of simple harmonic motion (SHM) from the equation of motion given as \(x = A \cos (\omega t + \phi)\), where \(A\) is the amplitude. Participants are exploring the relationship between the angular frequency \(\omega\) and the time period \(T\) of the motion.

Discussion Character

  • Conceptual clarification, Mathematical reasoning, Assumption checking

Approaches and Questions Raised

  • Participants discuss differentiating the SHM equation to find acceleration and compare it with the general form of acceleration in SHM. There are questions about the validity of canceling \(\omega\) during comparisons and the implications of defining \(\omega\) as a constant.

Discussion Status

The discussion is ongoing, with participants questioning each other's reasoning and attempting to clarify the relationship between \(\omega\) and \(T\). Some guidance has been offered regarding the definition of the time period, but there is no consensus on the method to derive it from the given equation.

Contextual Notes

Participants express uncertainty about the definitions and relationships involved in SHM, particularly regarding the cancellation of terms and the derivation of the time period from the angular frequency.

Wrichik Basu
Science Advisor
Insights Author
Gold Member
Messages
2,188
Reaction score
2,694

Homework Statement

:[/B]

Say for example I've got the equation of a SHM as: $$x = A \cos (\omega t + \phi)$$ where ##A## is the amplitude.

How do I find the time period of this motion?

Homework Equations

:[/B]

Stated above.

The Attempt at a Solution

:[/B]

I tried by finding the second order differential of the given equation.

## a = \dfrac {d^2 x}{d t^2} = - A \omega ^2 \cos (\omega t + \phi)##

And comparing it with the general equation for acceleration ##a = - \omega ^2 x##.

So, we can compare and find ##\omega## from here. And then the time period.

But is this approach correct? I don't think so, as ##\omega## gets canceled in the process.
 
Physics news on Phys.org
Wrichik Basu said:
So, we can compare and find ##\omega ## from here. And then the time period.
Right.
Wrichik Basu said:
But is this approach correct? I don't think so, as ##\omega## gets canceled in the process.
What process? It is always true by definition that ##\omega T =2\pi.##
 
kuruman said:
What process? It is always true by definition that ##\omega T =2\pi.##
No, I don't mean that. If I compare the two equations for ##a##, then I get ##\omega = \sqrt {A \omega ^2}##. So, I've got ##\omega## on both sides of the equation. Isn't that wrong? Because ##\omega ^2## can get canceled from both sides.
 
What two equations are you comparing? It looks like you start with ##x(t)=A\cos(\omega t+\phi)## and then take a double derivative to find ##a(t)## under the assumption that ##\omega## is an arbitrary constant that may be defined separately. You cannot extract a value for that constant from these equations.
 
kuruman said:
What two equations are you comparing? It looks like you start with ##x(t)=A\cos(\omega t+\phi)## and then take a double derivative to find ##a(t)## under the assumption that ##\omega## is an arbitrary constant that may be defined separately. You cannot extract a value for that constant from these equations.
OK, I get it. So, I'll do it like this:

Start with $$x = A \cos (\omega t + \phi)$$
Find second differential: ## a = \dfrac {d^2 x}{d t^2} = - A \omega ^2 \cos (\omega t + \phi)##

Comparing it with the general equation for acceleration ##a = - (\omega ') ^2 x##, $$\omega ' = \sqrt {A \omega ^2}$$
Then, time period ##T = \frac {2\pi }{\omega '} = \frac {2 \pi}{\omega \sqrt{A}}##.

This will solve any ambiguity between the two ##\omega##.
 
Wrichik Basu said:
OK, I get it.
No, you don't get it.
If ##x(t)=A\cos(\omega t+\phi)##, and ##a = -\omega^2 A\cos(\omega t +\phi)##, then ##a = -\omega^2 x## which means ##\omega'=\omega.##
 
kuruman said:
No, you don't get it.
If ##x(t)=A\cos(\omega t+\phi)##, and ##a = -\omega^2 A\cos(\omega t +\phi)##, then ##a = -\omega^2 x## which means ##\omega'=\omega.##
Then what is the correct method?
 
Correct method for what? What do you know and what are you trying to find? Your original statement of the problem implies that you want to find the period ##T##. Based on what you give, the only thing you can say is ##T=2\pi / \omega## as I indicated in post #2.
 
First of all, I just don't know how you can get ##\omega'=\sqrt{A\omega^{2}}##
You wrote ##a=-(\omega'^{2})x##, it's ok, but when you put ##x=A\cos(\omega t+\phi)## from above into this equation, how did you get ##\omega'=\sqrt{A\omega^{2}}## ?
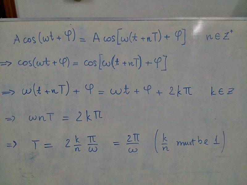
Secondly, ##T=\frac{2\pi}{\omega}##, that's a definition, but if you still want to find out why ##T=\frac{2\pi}{\omega}##, you can look at my instruction below.
Here, ##k/n## must be 1 because ##T## is "period", it means that time ##T## must be a smallest number (and non-negative, of course)
p/s: sorry for my laziness, I think that writing on the board is faster than typing on the keyboard
 

Attachments

  • IMG_20180117_233438_hdr.jpg
    IMG_20180117_233438_hdr.jpg
    38.1 KB · Views: 574

Similar threads

  • · Replies 51 ·
2
Replies
51
Views
4K
Replies
25
Views
1K
  • · Replies 26 ·
Replies
26
Views
6K
  • · Replies 17 ·
Replies
17
Views
3K
Replies
9
Views
2K
Replies
4
Views
3K
  • · Replies 5 ·
Replies
5
Views
2K
  • · Replies 3 ·
Replies
3
Views
2K
Replies
17
Views
3K
Replies
24
Views
4K