How to get plot (optical gain of GaAs)?

Click For Summary
SUMMARY

The discussion focuses on calculating the optical gain or loss of Gallium Arsenide (GaAs) based on photon energy dependence and injected carrier density. Key parameters include effective masses for electrons (mc=0.067 me) and holes (mv=0.48 me), along with the energy band gap (Eg=1.43 eV) and recombination lifetime (taung~3x10-9s). Participants seek guidance on determining photon energy (ħω) and its relationship with wavelength (λ0) and angular frequency (ω0). The conversation emphasizes the need for foundational knowledge in semiconductor lasers.

PREREQUISITES
  • Understanding of semiconductor physics, particularly GaAs properties
  • Familiarity with optical gain calculations in semiconductor lasers
  • Knowledge of effective mass concepts in solid-state physics
  • Basic principles of photon energy and wavelength relationships
NEXT STEPS
  • Research "Optical Gain in Semiconductor Lasers" for foundational concepts
  • Study "Photon Energy and Wavelength Relationships" to understand ħω calculations
  • Explore "Effective Mass in Semiconductors" for deeper insights into mc and mv
  • Read "Recombination Processes in Semiconductors" to grasp lifetime implications
USEFUL FOR

Students and researchers in semiconductor physics, optical engineers, and anyone involved in the design and analysis of semiconductor lasers, particularly those working with GaAs materials.

yeyintkoko
Messages
14
Reaction score
0
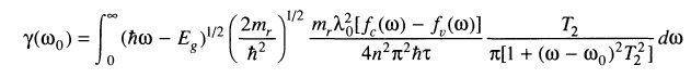
How can i calculate this plot (photon energy dependence of the optical gain (or loss = negative gain) of GaAs with the injected carrier density as a parameter?
Show calculated plot based on this equation
plot.jpg
equ.jpg

Given parameter:
mc=0.067 me; (effective mass of electrons in conduction band)
mv=0.48 me; (effective mass of holes in valence band)
T2~0.5 ps; (lifetime for coherent interaction of electrons with a monochromatic field)
Eg=1.43 eV; (energy band gap of GaAs)
taung~3x10-9s; (recombination lifetime)
1/mr=1/mc+1/mv; ( reduced effective mass)
n= 3.6: (refractive index for GaAs)

How can i find this value
ħω (energy of photon)- this should be ħω>Eg. How can i determine this energy?
λ0
ω0 ( if i known λ0, can i get ω0? (ω=c/λ))
c(ω)-ƒv(ω)]

Really I need your help. I am new for semiconductor laser. Please anyone help me.
Thanks!
 
Physics news on Phys.org
please suggest me the books, where from you got this equation ?????