How to simplyfy a square root term? Phonon dispersion relati

Click For Summary
SUMMARY

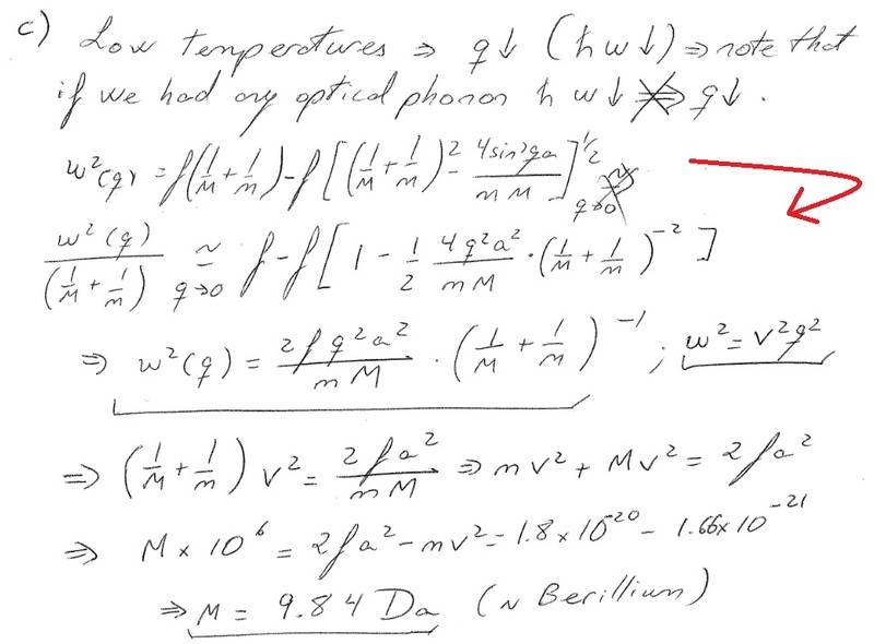
The discussion centers on simplifying a square root term in the equation for phonon dispersion, specifically the expression involving the variables \( \omega^2 \), \( m \), \( M \), and \( q \). The user initially divides the equation by \( \left( \frac{1}{m} + \frac{1}{M} \right) \) to isolate \( \frac{\omega^2}{\frac{1}{m} + \frac{1}{M}} \) but struggles with further simplification. The provided solution indicates the use of the binomial theorem to eliminate the square root and introduce a factor of \( \frac{1}{2} \) within the brackets, demonstrating a key technique in algebraic manipulation.

PREREQUISITES
  • Understanding of phonon dispersion relations
  • Familiarity with algebraic manipulation techniques
  • Knowledge of the binomial theorem
  • Basic concepts of mass and force in physics
NEXT STEPS
  • Study the application of the binomial theorem in simplifying expressions
  • Explore phonon dispersion relations in solid-state physics
  • Learn about algebraic techniques for manipulating square roots
  • Investigate the role of mass in wave equations
USEFUL FOR

Students and researchers in physics, particularly those focusing on solid-state physics and phonon behavior, as well as anyone looking to enhance their algebraic manipulation skills in complex equations.

rwooduk
Messages
757
Reaction score
59
I'm having trouble simplyfying this, I guess there's a trick but for the life of me can't remember what it is. Here is what I have so far:

##\omega ^{2} = f\left ( \frac{1}{m}+\frac{1}{M} \right )-f(( \frac{1}{m}+\frac{1}{M} \right ))^{2} - \frac{4q^{2} a^{2}}{mM})^{\frac{1}{2}}##

so I divide through by

##(\frac{1}{m}+\frac{1}{M}) ##

to give

##\frac{\omega ^{2}}{\frac{1}{m}+\frac{1}{M}} = f-f (\frac{4q^{2} a^{2}}{mM}(\frac{1}{m}+\frac{1}{M})^{-2})^{\frac{1}{2}}##

but now what? how would i simplyfy this further? here is the answer we have been given:

BTIWt5B.jpg


as you can see the square root has gone and there's a factor of 1/2 now inside the bracket, unclear of how he's simplyfied the square root term.

here's the complete question in line with forums rules:

PhanXsz.jpg


thanks in advance for any help.
 
Mathematics news on Phys.org
doesnt matter I am pretty sure he's used binomial theorem, mods please feel free to delete!
 

Similar threads

  • · Replies 4 ·
Replies
4
Views
3K
  • · Replies 22 ·
Replies
22
Views
2K
  • · Replies 27 ·
Replies
27
Views
6K
Replies
7
Views
2K
  • · Replies 4 ·
Replies
4
Views
2K
  • · Replies 3 ·
Replies
3
Views
4K
  • · Replies 10 ·
Replies
10
Views
3K
  • · Replies 21 ·
Replies
21
Views
2K
  • · Replies 15 ·
Replies
15
Views
2K
  • · Replies 4 ·
Replies
4
Views
1K