How to solve using Bernoulli equation

Click For Summary

Homework Help Overview

The discussion revolves around determining the gauge pressure required for a fire hose connected to city mains to project water to a height of 15 meters, utilizing the Bernoulli equation as a foundational principle.

Discussion Character

  • Exploratory, Assumption checking, Conceptual clarification

Approaches and Questions Raised

  • Participants explore the implications of assuming constant velocity and question how Bernoulli's equation relates to simpler hydrostatic pressure equations. There are discussions on the appropriate points to apply Bernoulli's equation and the relevance of horizontal movement in the analysis.

Discussion Status

Participants are actively engaging with each other's points, questioning assumptions about velocity and pressure at different points in the system. Some suggest alternative methods, such as applying Torricelli's theorem, while others seek clarification on the application of Bernoulli's equation.

Contextual Notes

There is an emphasis on the need to consider the starting conditions and the specific points where Bernoulli's equation is applied. Participants note the constraints of forum rules regarding the provision of complete solutions or calculations.

Zahid Iftikhar
Messages
121
Reaction score
24

Homework Statement


What gauge pressure is required by city mains for a stream from a fire hose connected to the mains to reach a vertical height of 15m?

Homework Equations


Bernoulli Equation:

The Attempt at a Solution


upload_2016-11-25_18-42-29.png
 
Physics news on Phys.org
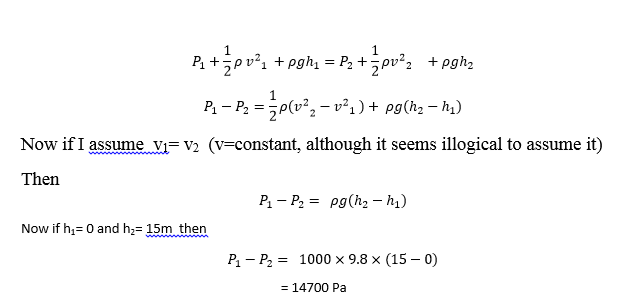
My objection on this solution is taking v= constant. I think velocity should be zero when water reaches the highest point of 15m. Only then we will find the minimum pressure. I have seen an alternative solution by using simply P=pgh , but my query is how Bernoulli equation reduces to this relation (P=pgh)? Please help on this.
 
You can place the starting endpoint of the streamline inside the source reservoir (city main) where the velocity can be taken to be effectively zero. That way your velocities will be equal yet satisfy your objection :smile:
 
Thanks gneil
I didn't clearly get your point. Please explain.
 
Zahid Iftikhar said:
Thanks gneil
I didn't clearly get your point. Please explain.
In a picture:
upload_2016-11-25_9-41-17.png
 
gneill said:
In a picture:
View attachment 109402
Thanks once again gneil
I could not understand what this horizontal movement of water has to do with the pressure required to throw water upto 15m height. Actually, in my view, the real story starts when water shoots out of the hose. We need to know pressure at the instant. Moreover in your solution we have taken three points where Bernoulli equation is to be applied. The starting point where you took v=0 and the end of the hose pipe and the top of the building. If height delta h is to be taken, then we have to think a virtual pipe starting from end of the city main fire hose to the top of the building.
I have another suggestion. If we apply Torricelli theorem and find velocity at the bottom of the building and then use that velocity to calculate the required pressure, then perhaps this problem may be solved.
 
Zahid Iftikhar said:
Thanks once again gneil
I could not understand what this horizontal movement of water has to do with the pressure required to throw water upto 15m height. Actually, in my view, the real story starts when water shoots out of the hose. We need to know pressure at the instant. Moreover in your solution we have taken three points where Bernoulli equation is to be applied. The starting point where you took v=0 and the end of the hose pipe and the top of the building. If height delta h is to be taken, then we have to think a virtual pipe starting from end of the city main fire hose to the top of the building.
No, only two points are required on a continuous streamline. Bernouolli is an energy conservation equation, and thus so long as no unaccounted external forces or energies affect a parcel of fluid from one end to the other of the streamline you can ignore the details of pressure and velocity changes along the way.

If you use the pressure at the hose exit as a starting point, you won't be using the mains pressure. The moving fluid there will already have a lower pressure than the mains pressure.
I have another suggestion. If we apply Torricelli theorem and find velocity at the bottom of the building and then use that velocity to calculate the required pressure, then perhaps this problem may be solved.
Yes, that's a valid approach too. Torricelli's theorem can be obtained via Bernoulli, of course.
 
gneill said:
No, only two points are required on a continuous streamline. Bernouolli is an energy conservation equation, and thus so long as no unaccounted external forces or energies affect a parcel of fluid from one end to the other of the streamline you can ignore the details of pressure and velocity changes along the way.

If you use the pressure at the hose exit as a starting point, you won't be using the mains pressure. The moving fluid there will already have a lower pressure than the mains pressure.

Yes, that's a valid approach too. Torricelli's theorem can be obtained via Bernoulli, of course.
Thanks dear Sir for your favour.
Could you please show the calculations. I am not sure if we only consider the horizontal piece of pipe from where water started with velocity zero, to where it ejects out, then how will you incorporate the height in your calculations.
 
Sorry, but helpers can't write the equations or do the work for you here (forum rules). But I can give you the hint that you can write the Bernoulii equation for the two stream endpoints that I indicated on the diagram that I posted. I've even indicated the pressure, velocity, and height parameters for the starting point.
 

Similar threads

  • · Replies 5 ·
Replies
5
Views
4K
Replies
2
Views
1K
  • · Replies 16 ·
Replies
16
Views
2K
  • · Replies 13 ·
Replies
13
Views
2K
  • · Replies 6 ·
Replies
6
Views
3K
  • · Replies 4 ·
Replies
4
Views
2K
  • · Replies 61 ·
3
Replies
61
Views
5K
Replies
19
Views
1K
  • · Replies 6 ·
Replies
6
Views
5K