How to understand when surface terms go to zero

  • Context: Graduate 
  • Thread starter Thread starter Ebarval
  • Start date Start date
  • Tags Tags
    Surface Terms Zero
Click For Summary

Discussion Overview

The discussion revolves around understanding when surface terms in variational calculus go to zero, particularly in the context of Lagrange's equations as presented in Liboff's Kinetic Theory. Participants explore the conditions under which these terms vanish and the implications for the equations involved.

Discussion Character

  • Exploratory
  • Technical explanation
  • Conceptual clarification
  • Debate/contested

Main Points Raised

  • One participant expresses confusion about the assertion that surface terms go to zero, noting that textbooks often state this without clear justification.
  • Another participant states that if ##\delta q = 0##, then the product with any term ##X## also equals zero, implying a condition for the vanishing of terms.
  • A follow-up question is raised regarding the applicability of this reasoning to earlier steps in the equations, suggesting a potential inconsistency in understanding.
  • It is noted that the condition of being zero applies only at the endpoints where the parts are evaluated, not throughout the entire interval.
  • A participant seeks clarification on how to identify surface terms in integrals and their behavior regarding zero, especially when no explicit delta term is present.
  • Another participant reiterates that ##\delta q## represents any variation along the path between fixed endpoints, emphasizing the generality of this concept.
  • A question is posed about a specific section of the material, referencing terms that are assumed to be surface terms, indicating ongoing inquiry into the topic.

Areas of Agreement / Disagreement

Participants express varying levels of understanding regarding the conditions under which surface terms go to zero. There is no consensus on the clarity of the explanations provided in the textbooks or the applicability of certain mathematical steps.

Contextual Notes

Participants highlight the importance of fixed endpoints in determining when surface terms vanish, but the discussion remains open regarding the broader implications and specific cases in integrals.

Ebarval
Messages
6
Reaction score
0
TL;DR
When do surface terms go to zero?
Hi all,
I'm trying to understand when surface terms go to zero. I'm not really getting a connection other than many textbooks just saying surface terms go to zero.
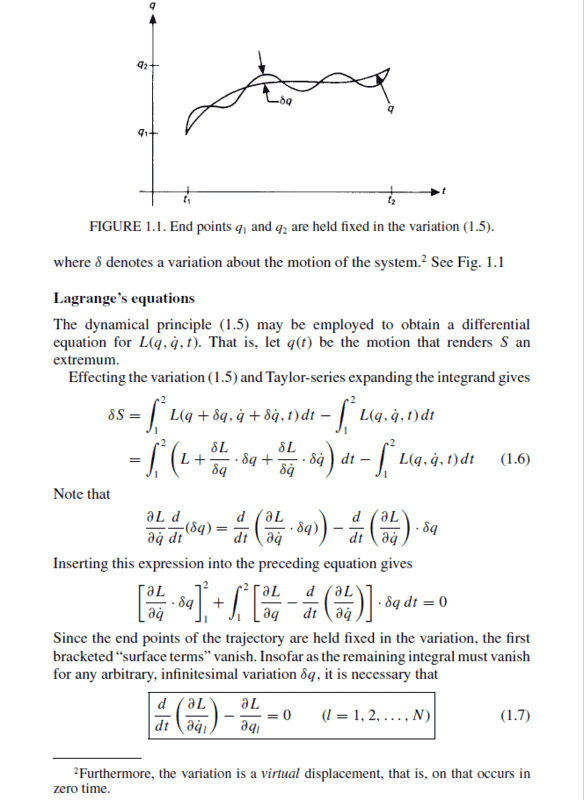
I have added a photo of Liboff's Kinetic Theory page 3 on Lagrange's equations. Before equation 1.7, he says the surface terms go to zero because the end points 1 &2 are fixed. But can't the Lagrangian still have a differential with respect to qdot?
 

Attachments

  • LagrangeSurfaceTerm.PNG
    LagrangeSurfaceTerm.PNG
    45.6 KB · Views: 296
Physics news on Phys.org
If ##\delta q = 0## then ##\delta q \times X = 0##, whatever ##X## is.
 
PeroK said:
If ##\delta q = 0## then ##\delta q \times X = 0##, whatever ##X## is.
But then why can't that be done on the step after eqn 1.6 or 1.6 itself?
 
Ebarval said:
But then why can't that be done on the step after eqn 1.6 or 1.6 itself?
Because it's not zero everywhere. Only at the end points where the Parts terms are evaluated.
 
PeroK said:
Because it's not zero everywhere. Only at the end points where the Parts terms are evaluated.
Ah I see! Thank you!
But now I have more questions. How can I tell from integral if something will end up as a surface term and that it goes to zero if there is no such delta term explicitly multiplying?
 
Ebarval said:
Ah I see! Thank you!
But now I have more questions. How can I tell from integral if something will end up as a surface term and that it goes to zero if there is no such delta term explicitly multiplying?
In this case, ##\delta q## is any variation on the path between two fixed endpoints. That's all there is to it.
 
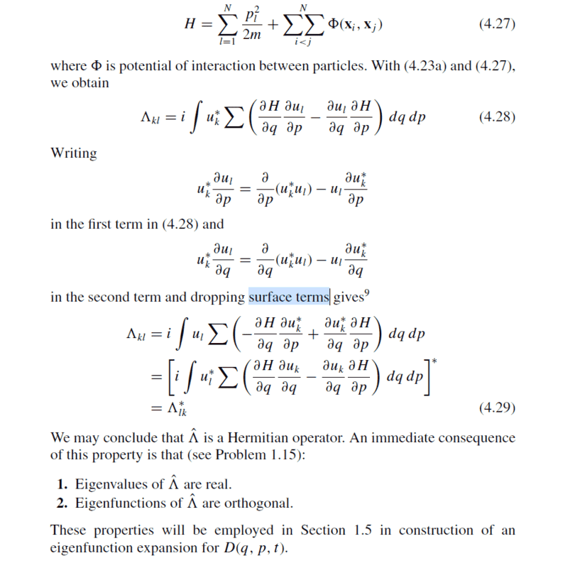
How about for the attached section? They mention the surface terms go to zero which I assume are the uk*ul
 

Attachments

  • LiouvilleOp.PNG
    LiouvilleOp.PNG
    38.5 KB · Views: 283
  • LiouvilleOp1.PNG
    LiouvilleOp1.PNG
    52.5 KB · Views: 266

Similar threads

  • · Replies 12 ·
Replies
12
Views
3K
  • · Replies 3 ·
Replies
3
Views
4K
Replies
2
Views
4K
  • · Replies 11 ·
Replies
11
Views
3K
Replies
6
Views
2K
  • · Replies 4 ·
Replies
4
Views
4K
  • · Replies 36 ·
2
Replies
36
Views
7K
Replies
3
Views
2K
  • · Replies 12 ·
Replies
12
Views
3K
  • · Replies 1 ·
Replies
1
Views
2K