Hydrostatic Equilibrium Problem Involving a Cube and two Liquids

Click For Summary

Homework Help Overview

The discussion revolves around a hydrostatic equilibrium problem involving a cube submerged in two different liquids. Participants are exploring the principles of buoyancy and pressure forces acting on the cube, as well as the implications of the problem's setup on the calculations involved.

Discussion Character

  • Exploratory, Conceptual clarification, Assumption checking

Approaches and Questions Raised

  • Participants discuss the necessity of showing work and the preferred formats for submissions. There are various interpretations of the forces acting on the cube, including the definition of pressure and buoyancy forces. Some participants suggest using Archimedes' principle while others question the assumptions made regarding fluid reach and force calculations.

Discussion Status

The discussion is ongoing, with participants sharing their attempts and seeking clarification on specific terms and calculations. Some have noted peculiar results in their findings, prompting further inquiry into the problem's parameters and assumptions.

Contextual Notes

There is a mention of homework guidelines that require participants to show their work, and some participants express concerns about the clarity of submitted images. The problem is noted to be from the Ibero-American Physics Olympiad 2017, which adds a layer of complexity due to the lack of provided solutions.

  • #31
Chestermiller said:
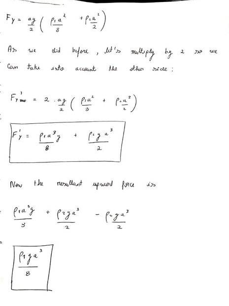
Correct me if I am wrong. I integrated the vertical component of the pressure forces over the surfaces of the cube. On the portion immersed in fluid 2, I got a downward force of ##\frac{\rho_2 ga^3}{2}## and, on the portion immersed in fluid 1, I got an upward force of ##\frac{\rho_2 ga^3}{2}+\frac{\rho_1ga^3}{8}##, so the net fluid pressure force on the cube was upward, and equal to ##\frac{\rho_1ga^3}{8}##, independent of ##\rho_2##. I got the exact same result by calculating the upward force on the base of the stack, and subtracting the weights of the 4 triangular fluid wedges above.
I will try to do it by integrating too. I realized now that I really made a simple mistake and the resultant force is what you found. But now I am a little bit confused, the total force does not depend of 𝜌2 . Isnt that weird ? What should the answer for 𝜌2 be ?
 
Physics news on Phys.org
  • #32
ViktorVask said:
I will try to do it by integrating too. I realized now that I really made a simple mistake and the resultant force is what you found. But now I am a little bit confused, the total force does not depend of 𝜌2 . Isnt that weird ? What should the answer for 𝜌2 be ?
Yes, it certainly sounds counterintuitive, but can't be argued with (since two completely different methods give exactly the same answer).

the answer for rho2 should be that it can be as low as zero.
 
  • #33
Chestermiller said:
Yes, it certainly sounds counterintuitive, but can't be argued with (since two completely different methods give exactly the same answer).

the answer for rho2 should be that it can be as low as zero.
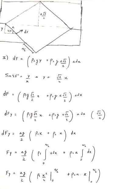
I just did the another solution. I will attach here. Got the same as you again.

In the first photo I calculated the force due the liquid 2
In the second one the force due the liquid 1 (taking into account the pressure that liquid 2 keeps exerting)
The last one I found the resultant
I think now it is okay
 

Attachments

  • 1.jpg
    1.jpg
    20.3 KB · Views: 199
  • 2.jpg
    2.jpg
    19.4 KB · Views: 185
  • 3.jpg
    3.jpg
    17 KB · Views: 195
  • #34
ViktorVask said:
But now I am a little bit confused, the total force does not depend of 𝜌2 . Isnt that weird ?
At first, it does take you by surprise. But the simple explanation is given in the second paragraph of post #13 by @haruspex.
 
  • #35
TSny said:
At first, it does take you by surprise. But the simple explanation is given in the second paragraph of post #13 by @haruspex.
Taking it further, if we consider starting with only the denser fluid and gradually add the lighter one, the buoyant force increases but with a negative quadratic term. It reaches a max when the fluid is half way up the face of the cube, then declines to its original value in the diagram position.
Beyond that, the buoyant forces declines linearly, eventually becoming negative overall, so a net downward force.
 
  • Like
Likes   Reactions: TSny

Similar threads

  • · Replies 5 ·
Replies
5
Views
2K
  • · Replies 13 ·
Replies
13
Views
2K
  • · Replies 2 ·
Replies
2
Views
1K
  • · Replies 6 ·
Replies
6
Views
3K
  • · Replies 14 ·
Replies
14
Views
2K
  • · Replies 18 ·
Replies
18
Views
2K
  • · Replies 2 ·
Replies
2
Views
2K
  • · Replies 1 ·
Replies
1
Views
1K
Replies
12
Views
2K
Replies
10
Views
3K