Hydrostatic pressure of liquid in a cart on an inclined ramp

Click For Summary

Homework Help Overview

The discussion revolves around the hydrostatic pressure of liquid in a cart on an inclined ramp, exploring the dynamics of forces acting on the liquid as the cart accelerates downhill. Participants are addressing concepts related to non-inertial frames and the effects of gravity and friction on the liquid's behavior.

Discussion Character

  • Exploratory, Conceptual clarification, Assumption checking

Approaches and Questions Raised

  • Participants discuss the force diagram for the liquid and the implications of using a non-inertial frame. Questions arise regarding the correct representation of vectors related to acceleration and gravity, as well as the balance of forces acting on the fluid.

Discussion Status

The discussion is active, with participants clarifying concepts and questioning assumptions about vector directions and the definitions of forces in the context of the problem. Some guidance has been offered regarding the relationship between the vectors involved, but no consensus has been reached on the correct approach.

Contextual Notes

There are indications of confusion regarding the definitions of acceleration and fictitious forces in non-inertial frames, as well as the impact of friction on the cart's motion. Participants are also considering the implications of these factors on the hydrostatic pressure experienced by the liquid.

A13235378
Messages
50
Reaction score
10
Homework Statement
A tank car partially filled with a homogeneous liquid travels at a constant acceleration along a straight slope of the road, inclined from a angle θ to the horizon and which has a kinetic friction coefficient equal to μ. Determine the alpha angle that the free surface of the liquid, supposed to be in equilibrium, forms with the horizon.
Relevant Equations
P= mg
F= μN
WhatsApp Image 2020-07-27 at 18.08.54.jpg


Sorry for my English, I'm Spanish. I am not able to make the force diagram for the liquid. I am still in high school and started now little hydrostatic. If someone can give me a light, I would be very .grateful.
 
Last edited by a moderator:
Physics news on Phys.org
Welcome! :cool:

The acceleration of the car going downhill will be reduced some from gravity-action-only due to friction.

This link may help you:
 
  • Like
Likes   Reactions: A13235378
Lnewqban said:
Welcome! :cool:

The acceleration of the car going downhill will be reduced some from gravity-action-only due to friction.

This link may help you:


Hello!

I used non-inertial frame:
Sem título.png
I can't found
the denominator value

what am i missing
 
A13235378 said:
1595998044656.png

You drew a green vector that is perpendicular to the vector ##\large \vec a##. You then indicate in the drawing that the angle between the green vector and the vertical is equal to ##\large \alpha##. But this is not correct. Did you mean to draw the green vector perpendicular to the surface of the fluid instead of perpendicular to ##\large \vec a##?

The principle that you can use is that the components of ##\large \vec a## and ##\large \vec g## that are parallel to the surface of the fluid must add to zero. It looks like maybe this is what you were trying to express. What is the angle that ##\large \vec a## makes to the surface of the fluid?

1595997797203.png
 
Yes! The green vector is perpendicular to the surface of the fluid. Its correct, right? So i just changed the balance equation?
 
A13235378 said:
Yes! The green vector is perpendicular to the surface of the fluid. Its correct, right? So i just changed the balance equation?
Yes, if the green vector is meant to denote the vector sum of ##\vec a## and ##\vec g##.
 
TSny said:
Yes, if the green vector is meant to denote the vector sum of ##\vec a## and ##\vec g##.

I'm sure we all have the same idea, but shouldn't it be ##\vec{g} - \vec{a}##?
 
Watch what happens in this video that shows the cart's speed increase and then decrease, both at constant acceleration.
 
  • Like
Likes   Reactions: TSny
etotheipi said:
I'm sure we all have the same idea, but shouldn't it be ##\vec{g} - \vec{a}##?
The OP is working in the frame accelerating with the cart. His vector ##\vec a## is in the direction of the fictitious force, which is opposite to the direction that the cart is accelerating in the inertial frame.
 
  • #10
TSny said:
The OP is working in the frame accelerating with the cart. His vector ##\vec a## is in the direction of the fictitious force rather than the direction that the cart is accelerating in the inertial frame.

Thanks for clarifying, usually I thought we would write the fictitious force ##-m\vec{a}## if ##\vec{a}## is the acceleration of this frame w.r.t. some inertial frame, which would give an effective gravitational acceleration of ##\vec{g} - \vec{a}##. But I suppose OP has defined ##\vec{a} \rightarrow -\vec{a}## as the negative of this, which I guess is fine (but maybe a little less natural?) :wink:
 
  • Like
Likes   Reactions: TSny
  • #11
etotheipi said:
Thanks for clarifying, usually I thought we would write the fictitious force ##-m\vec{a}## if ##\vec{a}## is the acceleration of this frame w.r.t. some inertial frame, which would give an effective gravitational acceleration of ##\vec{g} - \vec{a}##. But I suppose OP has defined ##\vec{a} \rightarrow -\vec{a}## as the negative of this, which I guess is fine (but maybe a little less natural?) :wink:
Yes, I think we're all together.
 
  • Like
Likes   Reactions: etotheipi
  • #12
kuruman said:
Watch what happens in this video that shows the cart's speed increase and then decrease, both at constant acceleration.
It's fun to note the orientation of the fluid surface while the cart is rolling freely down the slope.
 
  • #13
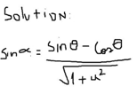
A13235378 said:
1596036618338.png
This should read ##\sin \alpha = \large \frac{\sin \theta - \mu \cos \theta}{\sqrt{1+\mu^2}}##.
 
  • #14
TSny said:
This should read ##\sin \alpha = \large \frac{\sin \theta - \mu \cos \theta}{\sqrt{1+\mu^2}}##.
TSny said:
It's fun to note the orientation of the fluid surface while the cart is rolling freely down the slope.
It would also be fun to rig up a magnetic braking system of variable ##\mu## and have the accelerometer roll down at constant velocity when ##\mu=\tan\theta##.
 
  • Like
Likes   Reactions: TSny

Similar threads

Replies
60
Views
7K
Replies
18
Views
3K
  • · Replies 3 ·
Replies
3
Views
1K
  • · Replies 14 ·
Replies
14
Views
2K
Replies
13
Views
3K
  • · Replies 5 ·
Replies
5
Views
10K
  • · Replies 1 ·
Replies
1
Views
2K
  • · Replies 10 ·
Replies
10
Views
3K
  • · Replies 1 ·
Replies
1
Views
2K
  • · Replies 74 ·
3
Replies
74
Views
16K