Impedeance of parallel RLC circuit

Click For Summary

Homework Help Overview

The discussion revolves around determining the impedance of a parallel RLC circuit, contrasting it with the impedance of a series RLC circuit. The original poster seeks guidance on converting the series impedance equation to a parallel configuration.

Discussion Character

  • Exploratory, Conceptual clarification, Mathematical reasoning

Approaches and Questions Raised

  • Some participants mention duality theorems in linear passive networks and suggest that the impedances can be combined in parallel, similar to resistors, but with complex numbers involved. Others emphasize the need for algebraic manipulation of complex impedances to find the overall impedance.

Discussion Status

Participants are exploring various interpretations of how to approach the problem of calculating the impedance in parallel. Some guidance has been provided regarding the use of complex numbers and the algebra involved, but there is no explicit consensus on the best method to proceed.

Contextual Notes

The discussion includes references to the complexities of dealing with impedances as complex numbers and the implications of using the modulus of the resulting impedance. There may be constraints related to homework rules that limit the type of assistance that can be provided.

hidemi
Messages
206
Reaction score
36
Homework Statement
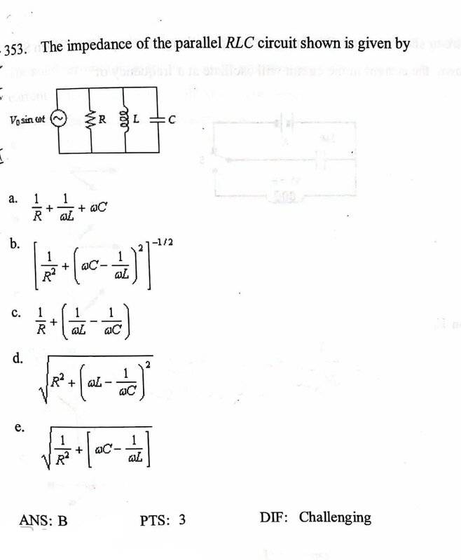
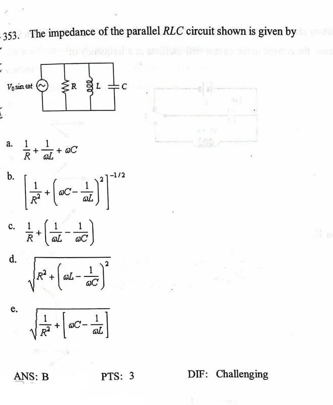
The impedance of the parallel RLC circuit shown is given by (as attached)
Relevant Equations
Z = [(R^2 + (XL - Xc)^2)]^1/2
the impedance of the parallel RLC circuit is shown as attached.
The equation above is the impedeance of RLC circuit in series, how can I convert that in parallel? Thanks.
 

Attachments

  • 1.jpg
    1.jpg
    27.2 KB · Views: 381
Physics news on Phys.org
There are duality theorems in linear passive networks like this to literally convert them to a similar system with the same solution with the equivalent of variable substitutions (resistance becomes conductance, inductances becomes capacitance, current becomes voltage, etc.). BUT, it's kind of pointless to go that route for this sort of problem. You can just combine the impedances in parallel. Same as you would do for resistors, except the component values can be complex numbers. This is essentially an algebra problem.
 
You can use the rule for parallel resistances for this case with the role of resistance played by the complex impedance so it will be $$\frac{1}{Z}=\frac{1}{Z_R}+\frac{1}{Z_C}+\frac{1}{Z_L}$$. As I emphasized these are complex impedances , for example it will be ##Z_R=R## however ##Z_C=\frac{1}{i\omega C}## and ##Z_L=i\omega L##. So you have to do algebra of complex numbers to find the complex ##Z## and then your answer will be the modulus of Z, that is ##\|Z\|##. (The modulus or magnitude of a complex number ##Z=a+bi## is the real number $$\|Z\|=\sqrt{a^2+b^2}$$.)
 
  • Like
Likes   Reactions: hidemi
Delta2 said:
You can use the rule for parallel resistances for this case with the role of resistance played by the complex impedance so it will be $$\frac{1}{Z}=\frac{1}{Z_R}+\frac{1}{Z_C}+\frac{1}{Z_L}$$. As I emphasized these are complex impedances , for example it will be ##Z_R=R## however ##Z_C=\frac{1}{i\omega C}## and ##Z_L=i\omega L##. So you have to do algebra of complex numbers to find the complex ##Z## and then your answer will be the modulus of Z, that is ##\|Z\|##. (The modulus or magnitude of a complex number ##Z=a+bi## is the real number $$\|Z\|=\sqrt{a^2+b^2}$$.)
Thank you so much.
 
  • Like
Likes   Reactions: Delta2

Similar threads

  • · Replies 21 ·
Replies
21
Views
2K
  • · Replies 15 ·
Replies
15
Views
6K
  • · Replies 6 ·
Replies
6
Views
2K
  • · Replies 12 ·
Replies
12
Views
7K
  • · Replies 2 ·
Replies
2
Views
2K
  • · Replies 5 ·
Replies
5
Views
3K
  • · Replies 32 ·
2
Replies
32
Views
4K
  • · Replies 3 ·
Replies
3
Views
1K
Replies
3
Views
2K
  • · Replies 3 ·
Replies
3
Views
2K