Induction motor no load magnetisation loss

Click For Summary

Discussion Overview

The discussion focuses on the estimation of magnetising losses in an induction motor under no-load conditions. Participants explore the relationships between various electrical parameters, including power factor, resistance, and reactance, while addressing the implications of these calculations on the understanding of core losses in the motor.

Discussion Character

  • Technical explanation
  • Mathematical reasoning
  • Debate/contested

Main Points Raised

  • One participant presents calculations for the magnetising resistance (R0) and reactance (X0) based on given voltage, current, and power factor, questioning the large magnetisation losses compared to actual stator power.
  • Another participant challenges the use of the coefficient 1.732 in the power factor calculation, seeking clarification on its origin and the definition of power factor.
  • Some participants suggest that the exercise should consider stator power as magnetic losses alongside windage and friction, noting that these losses are constant when speed is constant.
  • There is a discussion about the relationship between magnetic losses and voltage, with one participant asserting that if voltage is zero, only windage and friction losses remain.
  • One participant expresses confusion over how windage and friction losses were derived from a plotted curve, indicating a need for clarification on the methodology used.
  • Another participant calculates windage and friction losses and discusses the implications for R0, while also questioning the rationale behind the formula involving voltage squared and the factor of 3 in relation to X0.
  • Clarification is sought regarding the term "line voltage," with a participant explaining the differences between phase-to-neutral and phase-to-phase voltages in the context of three-phase systems.

Areas of Agreement / Disagreement

Participants express differing views on the calculations and interpretations of power factor, magnetising losses, and the definitions of voltage in three-phase systems. There is no consensus on the correct approach to estimating magnetising losses or the implications of the calculations presented.

Contextual Notes

Participants note potential limitations in their calculations, including assumptions about the nature of the power factor, the definitions of voltage in different configurations, and the dependency of losses on voltage levels. Some calculations may rely on specific interpretations of the system's parameters.

G44SPT
Messages
4
Reaction score
0
Homework Statement
ii) what is the no load magnetising power loss?
Relevant Equations
R0 = V1/(Icosϕ) & X0 = V1/(Isinϕ)
Equiv circuit results.jpg
Equivalent circuit.jpg


The study material says under 'Estimation of magnetising losses' :On no-load, the rotor current is very small and the slip almost zero. Therefore, R′2s is very high and virtually no current flows through the branch of the circuit containing R′2s. Consequently, the no-load current is virtually equal to the current through the resistor R0 and the reactance X0, and the power taken from the supply on no-load is virtually equal to the core losses in the motor.

Therefore , R0=V1/Icosϕ and X0=V1/Isinϕ

In answering ii) using the notes:

V1 = 230
I = 4.8
ϕ = P.F (power Factor)
p = 470

P.F = P/(1.732 x V x I)

P.F = 470/(.732 x 230 x 4.8)

P.F = 0.246

using formulae from notes:

R0=V1/Icosϕ and X0=V1/Isinϕ

R0=230/(4.8cos0.246) and X0=230/(4.8sin0.246)

R0=47.92w and X0= 11160.29w

The magnetisation losses seem too large since the actual stator power is only 470w? i think i must be missing something to be getting such a large magnetisation power loss.
 
Physics news on Phys.org
I was told that the power factor is given as ##PF = \frac P {V*I}##. I don't understand where did you get the coefficient 1.732 (or is it 0.732??). Now, the true power is given by (in case where both, current and voltage are sinusoidal) ##P = V * I * cos(\phi)##, in other words, power factor is just ##cos(\phi)## (not ##\phi##!)
 
In my opinion, the idea of this exercise is to consider the stator power as magnetic losses and windage and friction-neglecting other. Since the speed is constant the windage and friction losses are constant, also.

The magnetic losses have to be proportional with voltage. Then if voltage is "zero" only windage and friction remain. [by the way if voltage is zero no torque is expected so the rotor does not rotate!]

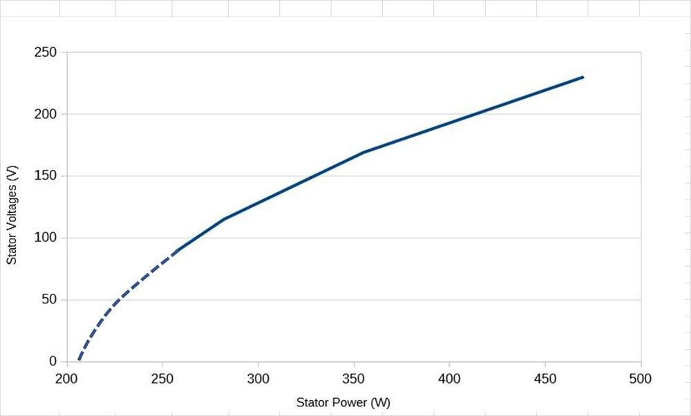
In this case windage and friction losses are approx.219 W [from the extension of the curve P_V] then the magnetic losses at 230 V are 251 W. From here Ro=V^2/Pmag. But Xo=3.V^2/Q [Q=total reactive power input-if S it is the apparent power=3*Vline*Iline then Q=√(S^2-Ptot^2) Ptot [at 230 V =470 W]
 
Last edited:
Henryk said:
I was told that the power factor is given as PF=PV∗I. I don't understand where did you get the coefficient 1.732 (or is it 0.732??). Now, the true power is given by (in case where both, current and voltage are sinusoidal) P=V∗I∗cos(ϕ), in other words, power factor is just cos(ϕ) (not ϕ!)
1.732 is just √3 , which is in the equation as it is a three phase supply i think. If cosϕ is power factor in this scenario I am confused as to what that would make sinϕ?
 
Babadag said:
In my opinion, the idea of this exercise is to consider the stator power as magnetic losses and windage and friction-neglecting other. Since the speed is constant the windage and friction losses are constant, also.

The magnetic losses have to be proportional with voltage. Then if voltage is "zero" only windage and friction remain. [by the way if voltage is zero no torque is expected so the rotor does not rotate!]

This makes sense

Babadag said:
In this case windage and friction losses are approx.219 W [from the extension of the curve P_V] then the magnetic losses at 230 V are 251 W.
This is where i have become a bit confused. I have plotted my own curve (used to answer question i.) using the data given and i am unsure how you have managed to conclude the wining and friction losses from this graph?
 

Attachments

  • Graph i..jpg
    Graph i..jpg
    15 KB · Views: 334
Calculating Ro then 218.6 W for windage and friction it is the value for which the Ro is almost constant.
V=230 Ptot=470 W Pmag=(470-218.6)=251.4 Ro=3*230^2/251.4= 631.26 ohm
 

Attachments

  • Magnetic losses vs voltages.jpg
    Magnetic losses vs voltages.jpg
    24 KB · Views: 317
  • Ro magnetic losses vs voltage.jpg
    Ro magnetic losses vs voltage.jpg
    14.8 KB · Views: 325
I think it is better to switch the coordinates
 

Attachments

  • Magnetic losses vs voltages.jpg
    Magnetic losses vs voltages.jpg
    39 KB · Views: 317
Babadag said:
Calculating Ro then 218.6 W for windage and friction it is the value for which the Ro is almost constant.
V=230 Ptot=470 W Pmag=(470-218.6)=251.4 Ro=3*230^2/251.4= 631.26 ohm
Thanks for the info. I have been applying the formula and have some answers, X0 using Xo=3.V^2/Q gave me 48.41W at maximum stator voltage of 230V. I thought the inductance here would be almost equivalent to the magnetic losses , i.e. the stator power. With the formula why is the voltage squared and multiplied by 3? i am trying to relate it to the R0 and X0 formula i have but can't seem to figure it out.
 
The expression "line voltage" it is not clear.
According to presented schematic diagram Vl is the single phase supply voltage.
If the three stator windings are connected in Y, Vline is the voltage between phase terminal and neutral.
If the three stator windings are connected in Δ, Vline is the voltage between two phase terminals.
As 230 V it is an IEC voltage [USA it is 480, 240 , 208 or 120 V 60 Hz] it is phase-to-neutral voltage [the rated voltage is 400 V 50 Hz].
Let's say 230 V is the voltage between two phases. Then, if S it is the apparent power then S^2=P^2+Q^2.In any case S>=P.
However, the last item [42 V and 1.7 A] is less than the possible [in any case has to be 2A instead of 1.7A].
But even if it will be 2A, S remains less than P if we consider 42 V as the voltage phase-to-phase.
So, my impression is "line voltage" is phase-to-neutral voltage
 

Similar threads

  • · Replies 2 ·
Replies
2
Views
4K
Replies
5
Views
6K
  • · Replies 7 ·
Replies
7
Views
4K
  • · Replies 1 ·
Replies
1
Views
4K
  • · Replies 2 ·
Replies
2
Views
2K
  • · Replies 6 ·
Replies
6
Views
3K
  • · Replies 13 ·
Replies
13
Views
4K
Replies
4
Views
3K
  • · Replies 5 ·
Replies
5
Views
3K
  • · Replies 4 ·
Replies
4
Views
4K