Infinite series calculation of a potential

Click For Summary
SUMMARY

The discussion focuses on deriving a closed-form solution for the potential function \( V(x,y) \) using infinite series calculations. The potential is expressed as \( V(x,y) = \frac{4V_0}{\pi} S_n \), where \( S_n \) is defined as \( S_n = \sum_{n=0}^{\infty} \frac{e^{-(2n+1)\frac{\pi}{a}x}\sin((2n+1)\frac{\pi}{a}y)}{(2n+1)} \). The solution involves complex analysis techniques, including substitutions and the evaluation of geometric series, leading to the final expression \( V(x,y) = \frac{2V_0}{\pi} \left[ \frac{\pi}{2} - \arctan\left(\frac{\sinh\left(\frac{\pi}{a}x\right)}{\sin\left(\frac{\pi}{a}y\right)}\right) \right] \).

PREREQUISITES
  • Understanding of infinite series and convergence
  • Familiarity with complex analysis and substitutions
  • Knowledge of hyperbolic functions and their properties
  • Proficiency in calculus, particularly integration techniques
NEXT STEPS
  • Study the properties of infinite series and convergence criteria
  • Learn about complex analysis techniques, particularly contour integration
  • Explore hyperbolic functions and their applications in physics
  • Investigate the derivation and applications of the arctangent function in complex analysis
USEFUL FOR

Mathematicians, physicists, and engineers involved in potential theory, complex analysis, and those seeking to understand infinite series calculations in applied contexts.

Vitani1
Messages
51
Reaction score
9
TL;DR
I'm having trouble beginning this...
I'm trying to get from the formula in the top to the formula in the bottom (See image: Series). My approach was to complexify the sine term and then use the fact that (see image: Series 1) for the infinite sum of 1/ne^-n. Then use the identity (see image: Series 2). Any other ideas?
 

Attachments

  • Series 1.png
    Series 1.png
    1.9 KB · Views: 269
  • Series 2.png
    Series 2.png
    3.3 KB · Views: 266
  • Series.png
    Series.png
    5.4 KB · Views: 295
Physics news on Phys.org
Let ##f(x)=\sum_{n=1}^\infty \frac{e^{-nx}}{n}##. Then ##f'(x)=\sum_{n=1}^\infty e^{-nx}=\frac{1}{e^x-1}##. Integrate to get ##f(x)=x-ln(e^x-1)##. When ##x=1##, we get ##f(1)=1-ln(e-1)##.
 
  • Like
Likes   Reactions: Vitani1 and BvU
Vitani1 said:
Any other ideas?
Since you haven't included a homework statement and it's been awhile since your original post, I offer my solution to the problem.
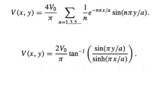
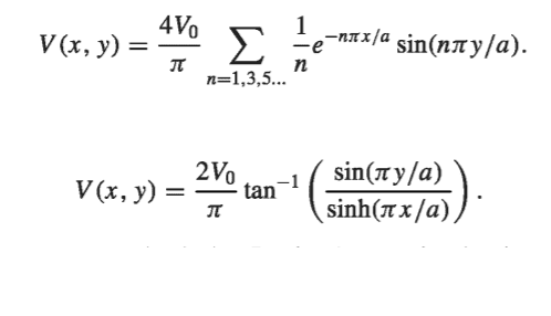
We seek a closed form solution to the potential,
$$
V(x,y)=\frac{4V_0}{\pi}S_n
$$
$$
S_n=\sum_{n=0}^{\infty}\frac{e^{-(2n+1)\frac{\pi}{a}x}\sin((2n+1)\frac{\pi}{a}y)}{(2n+1)}
$$
I make the substitutions ##z=\frac{\pi}{a}(x+iy)## and ##\bar z=\frac{\pi}{a}(x-iy)## which scales the complex plane by ##\frac{\pi}{a}##. We now have
$$
S_n=\frac{1}{2i}(\sum_{n=0}\frac{e^{-(2n+1)\bar z}}{(2n+1)}-\sum_{n=0}\frac{e^{-(2n+1) z}}{(2n+1)})
$$
I observe
$$
\frac{e^{-(2n+1)z}}{(2n+1)}=\int_{z}^{\infty} e^{-(2n+1) z'}d z'
$$
and thus
$$
\sum_{n=0}\frac{e^{-(2n+1)z}}{(2n+1)}=\sum_{n=0}\int_{z}^{\infty} dz'e^{-(2n+1)z'}
$$
and interchanging the order of summation and integration we have
$$
S_n=\int_{\bar z}^{\infty} d\bar{z'}\sum_{n=0}e^{-(2n+1)\bar{z'}}-\int_{z}^{\infty} dz'\sum_{n=0}e^{-(2n+1)z'}\\
$$
The sum ##\sum_{n=0}e^{-(2n+1)z'}## can be evaluated as a geometric series
$$
\sum_{n=0}e^{-(2n+1)z'}=e^{-z'}(1+e^{-2z'} + e^{-4z'} + ...)
$$
$$
=\frac{e^{-z'}}{1-e^{-2z'}}=\frac{1}{2\sinh(z')}
$$
and we have
$$
S_n=\frac{1}{2i}(\int_{z}^{\infty}\frac{d\bar{z'}}{2\sinh(\bar{z'})}-\int_{ z}^{\infty}\frac{d z'}{2\sinh(z')})
$$
The upper limit of integration evaluates to ##\log(\tanh(\infty))=0## and we have
$$
S_n=\frac{1}{4i}\left [\log(\tanh(\frac{ z}{2}))-\log(\tanh(\frac{\bar z}{2}))\right ]\\
$$
The half hyperbolic tangent can be expressed as
$$
\tanh(\frac{ z}{2})=\frac{(e^z-1)}{(e^z+1)}
$$
and so
$$
S_n=\frac{1}{4i}\left [\log(\frac{(e^z-1)(e^{\bar z}+1)}{(e^{\bar z}-1)(e^z+1)}) \right ]
$$
$$
=\frac{1}{4i}\left [ \log(\frac{\sinh(\frac{\pi}{a}x)+i\sin(\frac{\pi}{a}y)}{\sinh(\frac{\pi}{a}x)-i\sin(\frac{\pi}{a}y)}) \right ]
$$
$$
=\frac{1}{4i}\left [\log(-1) -\log(\frac{i-\frac{\sinh(\frac{\pi}{a}x)}{\sin(\frac{\pi}{a}y)}}{i+\frac{\sinh(\frac{\pi}{a}x)}{\sin(\frac{\pi}{a}y)}})\right ]
$$
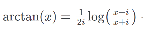
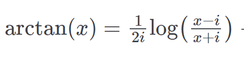
The ##\arctan(x)## can be expressed as
$$
\arctan(x)=\frac{1}{2i}(\frac{i-x}{i+x})
$$
and taking the principle branch of the logarithm we have
$$
S_n=\frac{1}{2}\left [ \frac{\pi}{2}-\arctan(\frac{\sinh(\frac{\pi}{a}x)}{\sin(\frac{\pi}{a}y)})\right ]
$$
$$
V(x,y)=\frac{2V_0}{\pi}\left [\frac{\pi}{2}-\arctan(\frac{\sinh(\frac{\pi}{a}x)}{\sin(\frac{\pi}{a}y)})\right ]

$$
 
  • Like
Likes   Reactions: Vitani1 and Infrared

Similar threads

  • · Replies 5 ·
Replies
5
Views
3K
  • · Replies 7 ·
Replies
7
Views
3K
  • · Replies 15 ·
Replies
15
Views
3K
  • · Replies 5 ·
Replies
5
Views
3K
  • · Replies 10 ·
Replies
10
Views
3K
  • · Replies 7 ·
Replies
7
Views
2K
  • · Replies 11 ·
Replies
11
Views
6K
  • · Replies 3 ·
Replies
3
Views
2K
  • · Replies 2 ·
Replies
2
Views
2K
  • · Replies 4 ·
Replies
4
Views
2K