Initially evacuated chamber and maximum theoretical work

Click For Summary

Discussion Overview

The discussion revolves around a problem involving an initially evacuated chamber and the calculation of maximum theoretical work in a thermodynamic context. Participants explore the implications of adiabatic processes, pressure-volume relationships, and the complexities introduced by the system's configuration, including the presence of a vacuum and the interaction between two tanks.

Discussion Character

  • Homework-related
  • Technical explanation
  • Debate/contested

Main Points Raised

  • Some participants suggest that the process is adiabatic, noting that in such a process, PV is not constant, but there exists a relationship pV^k = C.
  • There is uncertainty regarding the nature of the process and whether it can be treated as isobaric, adiabatic, isothermal, or isometric.
  • One participant expresses concern about the irreversibility associated with introducing the exit stream from a turbine into a vacuum tank, suggesting that this complicates the problem.
  • Another participant questions the assumption that the turbine can maintain equal temperatures in both tanks during the process, indicating that this may not be realistic.
  • There are discussions about the correct use of absolute versus gauge pressure in calculations, with some participants emphasizing the importance of using absolute pressure for accurate results.
  • Participants debate the final volume needed for calculations, clarifying that it should be the combined volume of both tanks rather than just one.
  • One participant proposes an alternative approach by considering a small initial pressure in the second tank instead of a vacuum, suggesting this might simplify the analysis.

Areas of Agreement / Disagreement

Participants generally agree that the problem is complex and that the process is adiabatic. However, there are multiple competing views regarding the assumptions made about temperature equality in the tanks and the treatment of pressures, indicating that the discussion remains unresolved.

Contextual Notes

Participants highlight limitations in their assumptions, particularly regarding the ideal behavior of the turbine and the irreversibility of the process. There is also a noted dependence on definitions of pressure types and the specific conditions of the system.

  • #31
mfig said:
No, for your analysis is very detailed! One thing I notice is that the pressures aren't equal at the end, unless I have misapplied your results? (Perhaps this is round-off error.)##P_1=P_{10}\left(\frac{n_1}{n_{10}}\right)^{\gamma}=997 \left(\frac{1.258 }{4.024 }\right)^{1.4}=195.7kPa##

##P_2=P_{10}\left(\frac{n_2V_1}{n_{10}V_2}\right)^\gamma = 997\left(\frac{2.676 *10}{4.024 *22}\right)^{1.4}=186.8kPa##

Also, the ideal gas law is not satisfied in tank 2, if the pressure above is correct (but it is satisfied in tank 1 given the above pressure).

For tank 1:

##P_1 = n_1*R*T_1/V_1 =1.258*8.314*187.1/.01 = 195.7kPa##, as above.

But for tank 2:

##P_2 = n_2*R*T_2/V_2 = 2.676*8.314*256.5/0.022 = 259.4kPa##, which differs from above.
That's because I made a mistake in arithmetic or a typo. n2 should be 2.767. I have corrected it in all the subsequent equations.
 
Physics news on Phys.org
  • #32
Chestermiller said:
That's because I made a mistake in arithmetic or a typo. n2 should be 2.767

Ah, that explains the pressure discrepancy. The second problem remains, however.
 
  • #33
mfig said:
Ah, that explains the pressure discrepancy. The second problem remains, however.
Hmmm. I'll have to recheck my algebra.
 
  • #34
mfig said:
Ah, that explains the pressure discrepancy. The second problem remains, however.
Yes. I made an algebra error. Amazingly, T2 comes out to be equal to T1. I've gone back and corrected that too. Thanks for pointing these out.
 
  • #35
Chestermiller said:
Yes. I made an algebra error. Amazingly, T2 comes out to be equal to T1. I've gone back and corrected that too. Thanks for pointing these out.

That's great. But now I noticed something about my solution in post 23. I left out the mass in the final step of my isentropic solution. When I include the mass (0.1165 kg), calculated from the ideal gas law on the initial contents of tank 1, our solutions closely match. Unfortunately, I can't go back and edit my work. I think I understand why they match. What a neat exercise!
 
Last edited:
  • Like
Likes   Reactions: Chestermiller
  • #36
mfig said:
That's great. But now I noticed something about my solution in post 23. I left out the mass in the final step of my isentropic solution. When I include the mass, calculated from the ideal gas law on the initial contents of tank 1, our solutions closely match. Unfortunately, I can't go back and edit my work. I think I understand why they match. What a neat exercise!
I think the interesting part is explaining mechanistically why they match. I had an idea about this, and I'd like to try it out on you. My thought is that the gas that had already entered tank 2 (earlier in the process) is being adiabatically and reversibly compressed by the new gas that enters tank 2 later in the process. So even in tank 2, the process is proceeding isentropically. So at all times through the process, the change in entropy of the total system contents is zero. Is this what you had in mind?
 
  • Like
Likes   Reactions: collinsmark
  • #37
Chestermiller said:
I think the interesting part is explaining mechanistically why they match. I had an idea about this, and I'd like to try it out on you. My thought is that the gas that had already entered tank 2 (earlier in the process) is being adiabatically and reversibly compressed by the new gas that enters tank 2 later in the process. So even in tank 2, the process is proceeding isentropically. So at all times through the process, the change in entropy of the total system contents is zero. Is this what you had in mind?

Yes, that's what I imagine happens in the limit. It also explains why the temperatures are the same even though the tanks aren't thermally connected. When we consider a reversible and adiabatic process it is in the limit as a quasi-static, or infinitely slow, process. Thus, the gas temperature during the entire process equalizes by the normal kinetic means because the gas is "self connected" so to speak.

I think this is what happens explicitly in my solution and implicitly in yours. When you used only the 1st law for open systems on the tanks, there is no consideration of entropy so there is no accounting for any change. Does that sound right?
 
  • Like
Likes   Reactions: collinsmark
  • #38
mfig said:
our solutions closely match.

Chestermiller said:
I think the interesting part is explaining mechanistically why they match.

By golly, my solution also matches, and thus I assume that after correcting for a couple of minor mistakes (that were known to be mistakes), that @Stephen Miller's (the OP's) final answer matches too!

So, I suppose, in the end we were all correct. (Although I agree that @Chestermiller was much more rigorous in the analysis.)

Thermodynamics is neat. :smile:
 
Last edited:
  • Like
Likes   Reactions: mfig
  • #39
I think the reason all our different solutions match is we each ultimately modeled isentropic processes, albeit in different ways.

@mfig's isentropic approach, invoking entropy from the get-go, is arguably a more applicably approach than mine, since the volume of the system is not changing gradually.

However, in my approach, I assumed reversibility, then integrated over the volume. Because the system being modeled was assumed to be completely reversible, the ideal turbine (in this model, using the assumptions I used) is equivalent to an ideal piston in a cylinder, in terms of total work done.

@Chestermiller's approach using separate processes (individually analyzing each tank in partial-isolation), seems to have also modeled a system which is ultimately isentropic.
 
  • #40
I've been thinking about this for the last couple of hours.

So the crux of the question is, why does tank1 and tank2 ultimately end up in thermal equilibrium in the final condition? Why did @Chestermiller's result lead this this conclusion, even though each tank was analyzed separately?

Firstly, I think @mfig's idea about quasi-static equilibrium is crucial here.

This problem varies between (a) happening over centuries [possibly longer] or (b) happening instantaneously with throttling*. But to maximize the problem, we're going to have to go with (a). The gas isn't being throttled through the turbine, but it's presesd rather slowly, -- possibly very slowly --, being fed/forces through it, generating work in the process, for all it's worth. (I guess what I'm saying is it's important is that the turbine is actually able to extract work from the transfer. All the work. Even it it takes awhile).

Scenario (a) captures all the work where (b) merely increases entropy* (in which several approches we've taken are assumed zero). So if we're maximizing work output, we just must be patient.

So the solution that we all came up with (everybody involved [solution (a)]) is the maximum work that can be obtained, it might take awhile to achieve it. But it's not out of reach. :wink:

-----

I've learned a lot with this problem. And there might be more to learn. But right now, I need to rest. Maybe more to learn tomorrow.

*Constant enthalpy with throttling! Yes. But enthalpy be damned! (kidding)
 
Last edited:
  • #41
mfig said:
Yes, that's what I imagine happens in the limit. It also explains why the temperatures are the same even though the tanks aren't thermally connected. When we consider a reversible and adiabatic process it is in the limit as a quasi-static, or infinitely slow, process. Thus, the gas temperature during the entire process equalizes by the normal kinetic means because the gas is "self connected" so to speak.

I think this is what happens explicitly in my solution and implicitly in yours. When you used only the 1st law for open systems on the tanks, there is no consideration of entropy so there is no accounting for any change. Does that sound right?
Yes. I might add however that, even though, in the end, the temperatures in the two tanks are equal, during the process path that I considered (essentially the simplest quasi-static path that one would use for this system), the temperature in the two tanks are not equal except at the end.
 
  • Like
Likes   Reactions: collinsmark
  • #42
collinsmark said:
This problem varies between (a) happening over centuries [possibly longer] or (b) happening instantaneously with throttling*.

*Constant enthalpy with throttling! Yes. But enthalpy be damned! (kidding)
Please be careful with wording. When I think of "throttling," I'm immediately thinking of dissipation in a valve or porous plug (along with entropy generation). I'm sure that is not what you meant here, but less experienced members might get confused.
 
  • #43
Chestermiller said:
Please be careful with wording. When I think of "throttling," I'm immediately thinking of dissipation in a valve or porous plug (along with entropy generation). I'm sure that is not what you meant here, but less experienced members might get confused.
Actually, that is precisely what I meant.*

If instead of asking "what is the maximum theoretical work," the problem statement had asked, "what is the minimum theoretical work," we would model the turbine (not such a great yard-sale find after all here) as a simple valve that does no work at all. The final result in the tanks is that they would contain equal pressure but might contain a temperature difference. Entropy would certainly increase.

The other extreme -- the one we did -- where the work is maximized, leads to zero entropy change. Combine that with adiabatic process and all our answers match.

Real-world turbines will fall somewhere in-between these two extremes.

But the fact that we were finding the maximum work in this ideal turbine (great yard sale find indeed) is my explanation as to why both tanks have equal temperatures in the end, even when analyzed individually.

*(Btw, please forgive my earlier "enthalpy be damned" outburst. Sometimes thermodynamics makes me very excited. ♥)

-------------

[Edit: By the way, I do acknowledge your observation that at any given point in time the temperatures in both tanks might not be equal; they're only equal in the end. I redact my earlier comments about the ideal turbine requiring special elements specifically to keep the temperatures equal. While such mechanisms would not change the final outcome, they are not necessary. The process is reversible so long as the turbine can be treated as quasi-static. (At least that's what I seem to have recently convinced myself of.)]
 
Last edited:
  • Like
Likes   Reactions: Chestermiller
  • #44
I would like to share the following additional thoughts. Part of my rationale for analyzing this problem the way I did was that, if the temperature of the gas exiting the turbine and entering tank 2 were not exactly equal to the temperature of the gas already contained inside tank 2 (from previous discharge into the tank) at all instants of time during the process, we would be mixing gas at one temperature with gas at a different temperature. This mixing would involve irreversibility and entropy generation, and the process could therefore not be considered isentropic. So I have gone back and checked my equations to compare the gas temperature ##T_f(t)## coming out of the turbine with the temperature ##T_2(t)## of the gas already in the tank at time t. I found that, amazingly, the two temperatures are indeed exactly equal at all times during the process, and given by:
$$T_f(t)=T_2(t)=T_{10}\left(\frac{n_2(t)V_1}{n_{10}V_2}\right)^{(\gamma-1)}$$This confirms the validity of assuming an isentropic process.
 
  • Like
Likes   Reactions: collinsmark
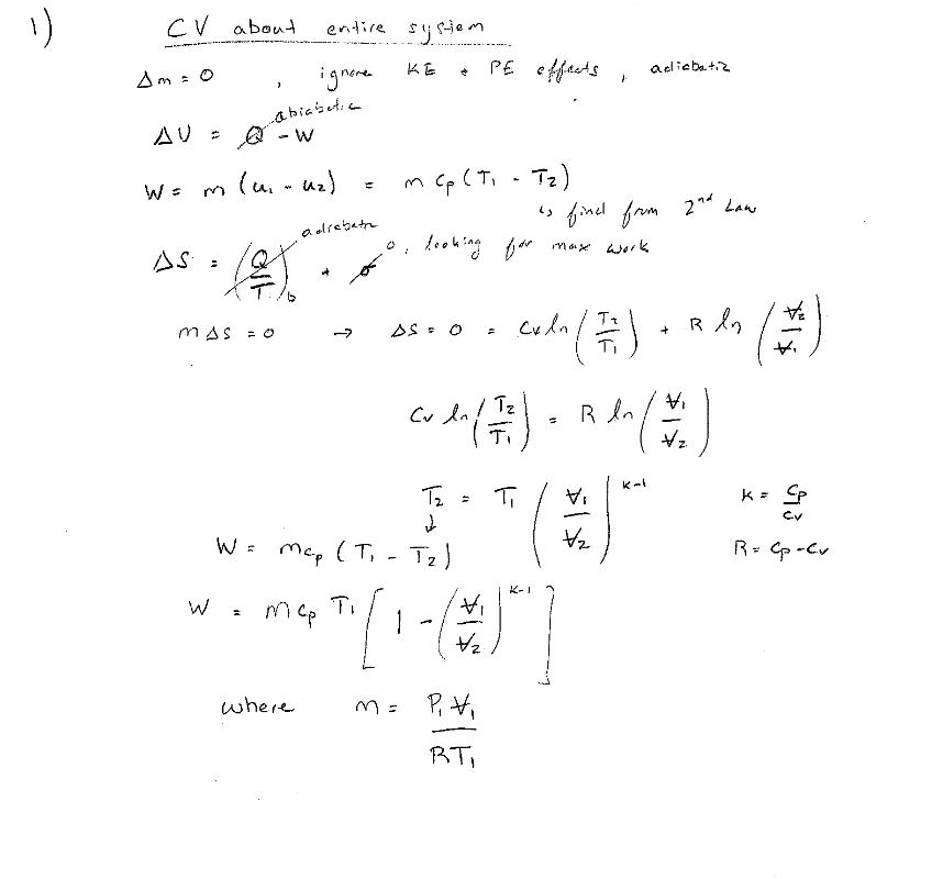
  • #45
Thank you all for the help. The correct answer is in the attached file. That's the teacher's solution, so just plug and chug from there. My answer came out to be ##9.4367 𝑘𝐽##
 

Attachments

  • Max Work Problem.png
    Max Work Problem.png
    14 KB · Views: 255
  • #46
With all due respect to your teacher, I stand by the solution I obtained in post #28: 9.278 kJ.
 
  • Like
Likes   Reactions: Stephen Miller
  • #47
Stephen Miller said:
Thank you all for the help. The correct answer is in the attached file. That's the teacher's solution, so just plug and chug from there. My answer came out to be ##9.4367 𝑘𝐽##
Yes, it seems the teacher made an error in writing:

##\Delta U = m c_p (T_2 - T_1)##

This should be written (for an ideal gas) as:

##\Delta U = m c_v (T_2 - T_1)##

Thus the work should be written, in terms only of the given parameters, as:##W = \frac{P_1 V_1 c_p}{R_{air} k} \left(1-\left(\frac{V_1}{V_1 + V_2}\right) ^{k-1}\right)##
 
Last edited:
  • Like
Likes   Reactions: Chestermiller

Similar threads

  • · Replies 2 ·
Replies
2
Views
2K
  • · Replies 12 ·
Replies
12
Views
2K
  • · Replies 12 ·
Replies
12
Views
4K
  • · Replies 11 ·
Replies
11
Views
8K
  • · Replies 26 ·
Replies
26
Views
7K
  • · Replies 10 ·
Replies
10
Views
7K
Replies
1
Views
2K
  • · Replies 2 ·
Replies
2
Views
2K
  • · Replies 5 ·
Replies
5
Views
3K
  • · Replies 4 ·
Replies
4
Views
2K