Integral with sine(x) and x multiplied

  • Thread starter Thread starter gfd43tg
  • Start date Start date
  • Tags Tags
    Integral
Click For Summary

Homework Help Overview

The discussion revolves around evaluating the integral $$ \frac {2 \sqrt {15}}{a^{3}} \int_{0}^{a} sin(\frac {n \pi}{a} x)x(a-x) dx $$ in the context of a physics problem, where ##a## is a constant and ##n## is a positive integer. Participants are exploring the mathematical techniques involved in solving this integral.

Discussion Character

  • Exploratory, Mathematical reasoning, Assumption checking

Approaches and Questions Raised

  • Some participants discuss separating the integral into two parts and using integration by parts as a method to solve it. Others question whether it is more efficient to use an integral table instead of solving by hand. There is also mention of using differentiation under the integral sign as an alternative approach.

Discussion Status

The discussion includes various attempts at solving the integral, with some participants expressing uncertainty about the equivalence of their solutions. There is acknowledgment of the potential for simplification leading to zero results under certain conditions, particularly when ##\sin(n\pi) = 0##. Guidance has been offered regarding different methods, but no consensus has been reached on the best approach.

Contextual Notes

Participants are working within the constraints of a homework assignment, which may limit the resources they can use. There is an ongoing exploration of assumptions related to the integral's solvability by hand versus using tables or alternative methods.

gfd43tg
Gold Member
Messages
949
Reaction score
48

Homework Statement


I'm doing a physics problem, but I'm stuck on the math part. My integral is

$$ \frac {2 \sqrt {15}}{a^{3}} \int_{0}^{a} \hspace{0.01 in} sin(\frac {n \pi}{a} x)x(a-x) dx $$
Where ##a## is a constant, and ##n = 1,2,3,...##

Homework Equations

The Attempt at a Solution


I will separate these into two integrals

$$ \frac {2 \sqrt {15}}{a^{3}} \Big [ \int_{0}^{a} ax \hspace{0.01 in} sin(\frac {n \pi}{a}x) dx - \int_{0}^{a} x^{2} \hspace {0.01 in} sin( \frac {n \pi}{a} x) \Big ] dx $$

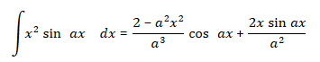
But from here, I know I could look up on the internet some sort of integral table, but the one I found

upload_2015-3-1_0-13-19.png

upload_2015-3-1_0-14-0.png

Is this integral reasonable to solve by hand, or is it just better to use the table?
 
Physics news on Phys.org
Maylis said:

Homework Statement


I'm doing a physics problem, but I'm stuck on the math part. My integral is

$$ \frac {2 \sqrt {15}}{a^{3}} \int_{0}^{a} \hspace{0.01 in} sin(\frac {n \pi}{a} x)x(a-x) dx $$
Where ##a## is a constant, and ##n = 1,2,3,...##

Homework Equations

The Attempt at a Solution


I will separate these into two integrals

$$ \frac {2 \sqrt {15}}{a^{3}} \Big [ \int_{0}^{a} ax \hspace{0.01 in} sin(\frac {n \pi}{a}x) dx - \int_{0}^{a} x^{2} \hspace {0.01 in} sin( \frac {n \pi}{a} x) \Big ] dx $$

But from here, I know I could look up on the internet some sort of integral table, but the one I found

View attachment 79722
View attachment 79723
Is this integral reasonable to solve by hand, or is it just better to use the table?

It's just integration by parts. Try doing x*sin(x) using the method. It would be good practice.
 
Okay, that was a fun little exercise to do the integration by parts (it's been a couple years)

So for the first term
$$ \frac {2 \sqrt {15}}{a^{3}} \int_{0}^{a} ax \hspace{0.01 in} sin(\frac {n \pi}{a}x) \hspace {0.01 in} dx $$
I will set ##u = x##, ##du = dx##, ##dv = sin(\frac {n \pi}{a} x) dx##, ##v = - \frac {a}{n \pi} \hspace {0.01 in} cos (\frac {n \pi}{a} x)##
So using integration by parts (and cancelling the ##a## term in the integral with the one outside)
$$ \int u \hspace {0.01 in} dv = uv - \int v \hspace {0.01 in} du $$

$$ \frac {2 \sqrt {15}}{a^{2}} \Big [ x \frac {-a}{n \pi} \hspace {0.01 in} cos (\frac {n \pi}{a} x) - \int - \frac {a}{n \pi} \hspace {0.01 in} cos (\frac {n \pi}{a} x) \hspace {0.01 in} dx \Big ] $$
$$ \frac {2 \sqrt {15}}{a^{2}} \Big [ x \frac {-a}{n \pi} \hspace {0.01 in} cos (\frac {n \pi}{a} x) + \frac {a^{2}}{n^{2} \pi^{2}} \hspace {0.01 in} sin(\frac {n \pi}{a} x) \Big ] \bigg |_{0:a} $$
$$ \frac {2 \sqrt {15}}{a^{2}} \Big [ \frac {-a^{2}}{n \pi} \hspace {0.01 in} cos (n \pi) + \frac {a^{2}}{n^{2} \pi^{2}} \hspace {0.01 in} sin(n \pi) \Big ] $$
The first term reduces to
$$ \frac {-2 \sqrt {15}}{n \pi} \hspace {0.01 in} cos (n \pi) + \frac {2 \sqrt {15}}{n^{2} \pi^{2}} \hspace {0.01 in} sin(n \pi) $$

Now for the second term
##u = x^{2}##, ##du = 2x \hspace {0.01 in} dx##, ##dv = sin(\frac {n \pi}{a} x) dx##, ##v = - \frac {a}{n \pi} \hspace {0.01 in} cos (\frac {n \pi}{a} x)##
$$ \frac {2 \sqrt {15}}{a^{3}} \Big [ x^{2} \frac {-a}{n \pi} \hspace {0.01 in} cos (\frac {n \pi}{a} x) + \frac {1}{2} \int \frac {a}{n \pi} \hspace {0.01 in} cos (\frac {n \pi}{a} x) \hspace {0.01 in} dx \Big ]$$
$$ \frac {2 \sqrt {15}}{a^{3}} \Big [ x^{2} \frac {-a}{n \pi} \hspace {0.01 in} cos (\frac {n \pi}{a} x) + \frac {a^{2}}{2n^{2} \pi^{2}} \hspace {0.01 in} sin (\frac {n \pi}{a} x) \Big ] \bigg |_{0:a} $$
$$ \frac {2 \sqrt {15}}{a^{3}} \Big [ \frac {-a^{3}}{n \pi} \hspace {0.01 in} cos (n \pi) + \frac {a^{2}}{2n^{2} \pi^{2}} \hspace {0.01 in} sin (n \pi) \Big ]$$
The second term reduces to
$$ \frac {-2 \sqrt{15}}{n \pi} \hspace {0.01 in} cos (n \pi) + \frac {\sqrt {15}}{an^{2} \pi^{2}} \hspace {0.01 in} sin (n \pi) $$

Now going all the way back, I have to subtract these terms,
$$\Big [ \frac {-2 \sqrt {15}}{n \pi} \hspace {0.01 in} cos (n \pi) + \frac {2 \sqrt {15}}{n^{2} \pi^{2}} \hspace {0.01 in} sin(n \pi) \Big ] - \Big [\frac {-2 \sqrt{15}}{n \pi} \hspace {0.01 in} cos (n \pi) + \frac {\sqrt {15}}{an^{2} \pi^{2}} \hspace {0.01 in} sin (n \pi) \Big ] $$

Simplifying to
$$ c_{n} = \frac {\sqrt {15}}{n^{2} \pi^{2}} \hspace {0.01 in} sin(n \pi) \big (2 - \frac {1}{a} \big ) $$
 
Last edited:
I think the author just used a table, not sure if his solution is equivalent to mine
upload_2015-3-1_1-21-22.png
 
Maylis said:
I think the author just used a table, not sure if his solution is equivalent to mine
Are you aware that ##\sin(n\pi)=0## so you got ##0##?
 
Maylis said:

Homework Statement


I'm doing a physics problem, but I'm stuck on the math part. My integral is

$$ \frac {2 \sqrt {15}}{a^{3}} \int_{0}^{a} \hspace{0.01 in} sin(\frac {n \pi}{a} x)x(a-x) dx $$
Where ##a## is a constant, and ##n = 1,2,3,...##

Homework Equations

The Attempt at a Solution


I will separate these into two integrals

$$ \frac {2 \sqrt {15}}{a^{3}} \Big [ \int_{0}^{a} ax \hspace{0.01 in} sin(\frac {n \pi}{a}x) dx - \int_{0}^{a} x^{2} \hspace {0.01 in} sin( \frac {n \pi}{a} x) \Big ] dx $$

But from here, I know I could look up on the internet some sort of integral table, but the one I found

View attachment 79722
View attachment 79723
Is this integral reasonable to solve by hand, or is it just better to use the table?

A useful alternative method is to use "differentiation under the integral sign". Here is how it works.

We have ##\sin(\theta) = \text{Im}\: e^{i \theta}##, where ##\text{Im}## denotes the imaginary part. Also: the integral of the imaginary part equals the imaginary part of the integral (for integration over real numbers). So, if we write
[tex]F(k) = \int_0^a e^{i x k/a} \, dx[/tex]
we can use the facts that
[tex]\frac{d}{dk} e^{i k x /a} = \frac{i x}{a} e^{i k x/a}[/tex]
and
[tex]\frac{d^2}{dk^2} e^{i k x/a} = -\frac{x^2}{a^2} e^{i k x/a}[/tex]
to get
[tex]\int_0^a x(a-x) e^{i k x/a} \, dx = \left( 1 + \frac{a^2}{i} \frac{d}{dk} + a^2 \frac{d^2}{dk^2} \right) F(k)[/tex]
You can easily find ##F(k)##, take the derivatives above, and simplify. Then you can take the imaginary part, to get the integral with ##\sin(k x /a)## in the integrand. Finally, you can set ##k = n \pi## and simplify further.
 
Last edited:
Where did I go wrong in my integration? Everything seems to check out...I overlooked that I got zero, but at least it is connect if ##n## is even...but my solution is for all ##n##
 

Similar threads

  • · Replies 6 ·
Replies
6
Views
2K
Replies
4
Views
3K
  • · Replies 5 ·
Replies
5
Views
3K
  • · Replies 14 ·
Replies
14
Views
3K
  • · Replies 2 ·
Replies
2
Views
2K
  • · Replies 5 ·
Replies
5
Views
2K
Replies
3
Views
2K
  • · Replies 5 ·
Replies
5
Views
3K
  • · Replies 11 ·
Replies
11
Views
4K
  • · Replies 19 ·
Replies
19
Views
3K