Integration by parts and approximation by power series

Click For Summary

Homework Help Overview

The discussion revolves around a physics problem involving the motion of an object under a time-dependent force, specifically focusing on the integration of the force function and the approximation of velocity and position using power series. The problem requires finding expressions for velocity and position over time, particularly for small values of time.

Discussion Character

  • Exploratory, Conceptual clarification, Mathematical reasoning

Approaches and Questions Raised

  • Participants discuss the need to develop the exponential term in the force function to a certain order to obtain the correct approximations for velocity and position. There are questions about the cancellation of terms and the necessity of including specific powers of t before and after integration.

Discussion Status

The discussion is ongoing, with participants exploring different methods of developing the exponential function and its implications on the results. Some guidance has been provided regarding the order of terms to consider, but questions remain about the reasoning behind these choices.

Contextual Notes

Participants are navigating the constraints of approximating functions and the implications of integration on the order of terms. There is an emphasis on understanding the mathematical reasoning behind the approximations required for small t.

Elvis 123456789
Messages
158
Reaction score
6

Homework Statement



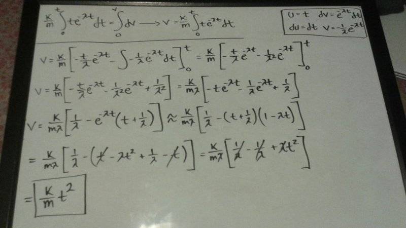
An object of mass m is initially at rest and is subject to a time-dependent force given by F = kte^(-λt), where k and λ are constants.
a) Find v(t) and x(t).
b) Show for small t that v = 1/2 *k/m t^2 and x = 1/6 *k/m t^3.
c) Find the object’s terminal velocity.

Homework Equations

The Attempt at a Solution


I showed my work for finding v(t) and getting the approximation for v(t) for small t. but I am missing the 1/2 at the front and I can't seem to find where it comes from.
 

Attachments

  • unnamed11.jpg
    unnamed11.jpg
    35 KB · Views: 413
Physics news on Phys.org
Perhaps you need to further develop ##e^{-\lambda t}## ? The term linear in ##t## cancels, so you need to develop up to ##t^2##
 
Last edited:
BvU said:
Perhaps you need to further develop ##e^{-\lambda t}## ? The term ilinear in ##t## cancels, so you need to develop up to ##t^2##
but if I include a t^2 term then I end up with a t^3 term that doesn't cancel
 
Yes. So the outcome will be correct up to order ##t^2##. .
 
You can also do the development before the integration: ## t\;e^{-\lambda t}= t -\lambda t^2 ## and ignore higher orders
 
BvU said:
You can also do the development before the integration: ## t\;e^{-\lambda t}= t -\lambda t^2 ## and ignore higher orders
Thanks for your help, i got the right answer. But can you help me understand something, why is it enough to include only up to the t^1 term before the integration, but after the integration we have to include the t^2 term?
 
"Integration increases order of ##t## by one" is the answer that comes to mind. But I agree with you that it makes a weird impression.
 

Similar threads

  • · Replies 3 ·
Replies
3
Views
2K
  • · Replies 15 ·
Replies
15
Views
2K
  • · Replies 24 ·
Replies
24
Views
3K
  • · Replies 9 ·
Replies
9
Views
3K
Replies
8
Views
2K
Replies
8
Views
2K
  • · Replies 15 ·
Replies
15
Views
2K
Replies
2
Views
2K
  • · Replies 4 ·
Replies
4
Views
2K
Replies
2
Views
2K