Integration Help: Overcoming Blindness in Solving Equations

  • Thread starter Thread starter yungman
  • Start date Start date
  • Tags Tags
    Integration
Click For Summary

Homework Help Overview

The discussion revolves around evaluating integrals involving trigonometric functions and rational expressions. The original poster expresses difficulty in transitioning between two integral forms and seeks clarity on the steps involved in the transformation.

Discussion Character

  • Exploratory, Assumption checking, Mathematical reasoning

Approaches and Questions Raised

  • Participants discuss the transformation of integrals and the implications of changing limits of integration. There are attempts to use partial fraction decomposition and trigonometric identities to simplify the expressions. Some participants question the validity of canceling terms in the integrals and the convergence of the integrals involved.

Discussion Status

The discussion is ongoing, with various participants providing hints and suggestions for approaching the problem. There is recognition of the need for careful handling of the integrals and the conditions under which they converge. Multiple interpretations of the problem are being explored, and participants are actively engaging with each other's reasoning.

Contextual Notes

Some participants note that the original numerator is a perfect square and suggest using trigonometric identities. There is also mention of the potential divergence of certain integrals, which adds complexity to the discussion.

yungman
Messages
5,741
Reaction score
291
I am having some sort of blindness today! I just don't see how I can go from the first step to the second:

[tex]2\int_0^1\frac{[\cos^2 (au) +\cos^2a-2\cos (au) \cos a]}{1-u^2} du = \int_{-1}^1\frac{[\cos^2 (au) +\cos^2a-2\cos (au) \cos a]}{1+u} du[/tex]
Where "a" is just a constant.

As you can see, the numerator does not change. so it really boils down to
[tex]2\int_0^1\frac{1}{1-u^2} du = \int_{-1}^1\frac{1}{1+u} du[/tex]

I tried using partial fraction where:
[tex]\frac 1 { (1+u)(1-u)}=\frac A {(1+u)}+\frac B {(1-u)}[/tex]
where A=B=##\frac 1 2##.
[tex]\Rightarrow\; 2\int_0^1\frac{1}{1-u^2} du=\int_0^1\frac{1}{1+u} du+\int_0^1\frac{1}{1-u} du[/tex]

I just don't see it. Please help.
 
Last edited:
Physics news on Phys.org
yungman said:
I am having some sort of blindness today! I just don't see how I can go from the first step to the second:

[tex]2\int_0^1\frac{[\cos^2 (au) +\cos^2a-2\cos (au) \cos a]}{1-u^2} du = \int_{-1}^1\frac{[\cos^2 (au) +\cos^2a-2\cos (au) \cos a]}{1+u} du[/tex]
Where "a" is just a constant.

As you can see, the numerator does not change. so it really boils down to
[tex]2\int_0^1\frac{1}{1-u^2} du = \int_{-1}^1\frac{1}{1+u} du[/tex]

I tried using partial fraction where:
[tex]\frac 1 { (1+u)(1-u)}=\frac A {(1+u)}+\frac B {(1-u)}[/tex]
where A=B=##\frac 1 2##.
[tex]\Rightarrow\; 2\int_0^1\frac{1}{1-u^2} du=\int_0^1\frac{1}{1+u} du+\int_0^1\frac{1}{1-u} du[/tex]

I just don't see it. Please help.
Doing the pertial fraction decomposition may help -- probably does help, but you can't just say it boils down to [itex]\ \displaystyle 2\int_0^1\frac{1}{1-u^2} du = \int_{-1}^1\frac{1}{1+u} du\ .[/itex]

One other thing also changes, the limits of integration.

Also notice that the numerator is a perfect square.

There is also a sum to product identity for cos(A) - cos(B) .

http://en.wikipedia.org/wiki/Trigonometric_identities#Product-to-sum_and_sum-to-product_identities
 
SammyS said:
Doing the pertial fraction decomposition may help -- probably does help, but you can't just say it boils down to [itex]\ \displaystyle 2\int_0^1\frac{1}{1-u^2} du = \int_{-1}^1\frac{1}{1+u} du\ .[/itex]

One other thing also changes, the limits of integration.

Also notice that the numerator is a perfect square.

There is also a sum to product identity for cos(A) - cos(B) .

http://en.wikipedia.org/wiki/Trigonometric_identities#Product-to-sum_and_sum-to-product_identities

I get to this directly from what is given from the solution manual:

[tex]2\int_0^1\frac{[\cos^2 (au) +\cos^2a-2\cos (au) \cos a]}{1-u^2} du = \int_{-1}^1\frac{[\cos^2 (au) +\cos^2a-2\cos (au) \cos a]}{1+u} du[/tex]
Where "a" is just a constant.

[tex]\Rightarrow\;2\int_0^1\frac{1}{1-u^2}[\cos^2 (au) +\cos^2a-2\cos (au) \cos a] du = \int_{-1}^1\frac{1}{1+u} [\cos^2 (au) +\cos^2a-2\cos (au) \cos a]du[/tex]

As you can see, the numerator does not change. I just remove the whole numerator and boils down to
[tex]2\int_0^1\frac{1}{1-u^2} du = \int_{-1}^1\frac{1}{1+u} du[/tex]

I really did not change anything. I just don't get this and I show my work in the first post where I got stuck. I don't even see why I need to worry about sine and cosine terms in the numerator as it is not even affected. I only show the whole equation just to show where it comes from.
 
Last edited:
yungman said:
I get to this directly from what is given from the solution manual:

[tex]2\int_0^1\frac{[\cos^2 (au) +\cos^2a-2\cos (au) \cos a]}{1-u^2} du = \int_{-1}^1\frac{[\cos^2 (au) +\cos^2a-2\cos (au) \cos a]}{1+u} du[/tex]
Where "a" is just a constant.

[tex]\Rightarrow\;2\int_0^1\frac{1}{1-u^2}[\cos^2 (au) +\cos^2a-2\cos (au) \cos a] du = \int_{-1}^1\frac{1}{1+u} [\cos^2 (au) +\cos^2a-2\cos (au) \cos a]du[/tex]

As you can see, the numerator does not change. I just remove the whole numerator and boils down to
[tex]2\int_0^1\frac{1}{1-u^2} du = \int_{-1}^1\frac{1}{1+u} du[/tex]

I really did not change anything. I just don't get this and I show my work in the first post where I got stuck. I don't even see why I need to worry about sine and cosine terms in the numerator as it is not even affected. I only show the whole equation just to show where it comes from.

You are barking up the wrong tree here. Saying that the integral of 1/g(x) is equal to the integral of 1/h(x) means that the integral of f(x)/g(x) equals the integral f(x)/h(x) is completely wrong. Not that I know how to solve your problem, but the integral of 1/(1+u) from -1 to 1 doesn't even exist. And the other one diverges as well. You can't 'cancel' the numerator.
 
Last edited:
yungman said:
I get to this directly from what is given from the solution manual:

[tex]2\int_0^1\frac{[\cos^2 (au) +\cos^2a-2\cos (au) \cos a]}{1-u^2} du = \int_{-1}^1\frac{[\cos^2 (au) +\cos^2a-2\cos (au) \cos a]}{1+u} du[/tex]
Where "a" is just a constant.

[tex]\Rightarrow\;2\int_0^1\frac{1}{1-u^2}[\cos^2 (au) +\cos^2a-2\cos (au) \cos a] du = \int_{-1}^1\frac{1}{1+u} [\cos^2 (au) +\cos^2a-2\cos (au) \cos a]du[/tex]

As you can see, the numerator does not change. I just remove the whole numerator and boils down to
[tex]2\int_0^1\frac{1}{1-u^2} du = \int_{-1}^1\frac{1}{1+u} du[/tex]

I really did not change anything. I just don't get this and I show my work in the first post where I got stuck. I don't even see why I need to worry about sine and cosine terms in the numerator as it is not even affected. I only show the whole equation just to show where it comes from.
Hint: What is ##\displaystyle \ \left( \cos(au)-\cos(a) \right)^2 \ ## when expanded ?

After suitably changing the integrand and splitting the integral into the sum of two integrals, it looks like you will need to use a change of variable (substitution) with one of the integrals.

I haven't done the problem either, but it looks to me that the integral does converge. (As u → 1 , we have the indeterminate form, 0/0 .)
 
Last edited:
SammyS said:
Hint: What is ##\displaystyle \ \left( \cos(au)-\cos(a) \right)^2 \ ## when expanded ?

I don't think that helps. The original numerator is symmetric in u. I would try splitting 1/(1+u) into symmetric and antisymmetric parts. I think that will.
 
Last edited:
SammyS said:
Hint: What is ##\displaystyle \ \left( \cos(au)-\cos(a) \right)^2 \ ## when expanded ?

After suitably changing the integrand and splitting the integral into the sum of two integrals, it looks like you will need to use a change of variable (substitution) with one of the integrals.

I haven't done the problem either, but it looks to me that the integral does converge. (As u → 1 , we have the indeterminate form, 0/0 .)

Actually that's where it came from...##(\cos au -\cos a)^2##.

I am still looking at this, I understand what I did wrong. But I still have no idea how to solve this.
 
Dick said:
You are barking up the wrong tree here. Saying that the integral of 1/g(x) is equal to the integral of 1/h(x) means that the integral of f(x)/g(x) equals the integral f(x)/h(x) is completely wrong. Not that I know how to solve your problem, but the integral of 1/(1+u) from -1 to 1 doesn't even exist. And the other one diverges as well. You can't 'cancel' the numerator.

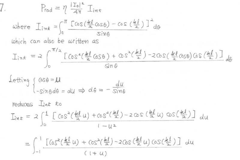
I see what you mean. But now I am even more lost. This is a scan of the solution manual. I use a=kl/2.
 

Attachments

  • Integral.jpg
    Integral.jpg
    24.7 KB · Views: 384
Last edited:
yungman said:
Actually that's where it came from...##(\cos au -\cos a)^2##.

I am still looking at this, I understand what I did wrong. But I still have no idea how to solve this.
Use the difference to product identity for ##\ \cos(\theta) - \cos(\varphi) \ .##

##\displaystyle
\cos \theta - \cos \varphi = -2\sin\left( {\theta + \varphi \over 2}\right) \sin\left({\theta - \varphi \over 2}\right)
##

In this case, ##\displaystyle \ {\theta + \varphi \over 2}\ ## and ##\displaystyle \ {\theta - \varphi \over 2}\ ## work out very nicely .

Added in Edit:
The only reason to change to the product of sines is to show that the limit of the integrand exists as u → ±1 .
 
Last edited:
  • #10
Using the partial fraction decomposition you found for 1/(1-u2) , split the integral into the sum of two integrals, one with a denominator
of 1 + u, the other with 1 - u.

Each, of course, has a numerator of (cos(au)-cos(a))2 .

Then, for the integral with a denominator of 1 - u, do a substitution such as x = -u .
 
  • #11
SammyS said:
Using the partial fraction decomposition you found for 1/(1-u2) , split the integral into the sum of two integrals, one with a denominator
of 1 + u, the other with 1 - u.

Each, of course, has a numerator of (cos(au)-cos(a))2 .

Then, for the integral with a denominator of 1 - u, do a substitution such as x = -u .

Thanks

Let me work on this and come back later.
 
  • #12
Let me try this and see whether this is right

[tex]\frac 2 { (1+u)(1-u)}=\frac A {(1+u)}+\frac B {(1-u)}=\frac 1 {(1+u)}+\frac 1 {(1-u)}[/tex]
where A=B=##\frac 1 2##.

[tex]\Rightarrow\;2\int_0^1\frac{[\cos^2 (au) +\cos^2a-2\cos (au) \cos a]}{1-u^2} du = \int_{0}^1\frac{[\cos^2 (au) +\cos^2a-2\cos (au) \cos a]}{1+u} du\;+\; \int_{0}^1\frac{[\cos^2 (au) +\cos^2a-2\cos (au) \cos a]}{1-u} du[/tex]
[tex]\hbox {Let}\;v=-u\Rightarrow\; du=-dv[/tex]
[tex]\int_{0}^1\frac{[\cos^2 (au) +\cos^2a-2\cos (au) \cos a]}{1-u} du\;=\;-\int_{0}^{-1}\frac{[\cos^2 (-av) +\cos^2a-2\cos (-av) \cos a]}{1+v} dv\;=\;\int_{-1}^0\frac{[\cos^2 (av) +\cos^2a-2\cos (av) \cos a]}{1+v} dv[/tex][tex]\hbox {Let}\;u=v\Rightarrow\; du=dv[/tex]
[tex]\int_{-1}^0\frac{[\cos^2 (av) +\cos^2a-2\cos (av) \cos a]}{1+v} dv\;=\;\int_{-1}^0\frac{[\cos^2 (au) +\cos^2a-2\cos (au) \cos a]}{1+u} du[/tex]

Therefore
[tex]2\int_0^1\frac{[\cos^2 (au) +\cos^2a-2\cos (au) \cos a]}{1-u^2} du\;=\;\int_{0}^1\frac{[\cos^2 (au) +\cos^2a-2\cos (au) \cos a]}{1+u} du\;+\;\int_{-1}^0\frac{[\cos^2 (au) +\cos^2a-2\cos (au) \cos a]}{1+u} du[/tex]

[tex]\Rightarrow\;2\int_0^1\frac{[\cos^2 (au) +\cos^2a-2\cos (au) \cos a]}{1-u^2} du\;=\;\int_{-1}^1\frac{[\cos^2 (au) +\cos^2a-2\cos (au) \cos a]}{1+u} du[/tex]

How does this look?
 
Last edited:
  • #13
In the first line, if A = B = 1/2, shouldn't the fractions be (1/2) / (1 + u) and (1/2) / (1 - u)?
 
  • #14
SteamKing said:
In the first line, if A = B = 1/2, shouldn't the fractions be (1/2) / (1 + u) and (1/2) / (1 - u)?
He is decomposing ##\displaystyle \ \frac{2}{1-u^2}\ ## not ##\displaystyle \ \frac{1}{1-u^2}\ .##
 
  • #15
yungman said:
Let me try this and see whether this is right

...[tex]\hbox {Let}\;v=-u\Rightarrow\; du=-dv[/tex]
[tex]\int_{0}^1\frac{[\cos^2 (au) +\cos^2a-2\cos (au) \cos a]}{1-u} du\;=\;-\int_{0}^{-1}\frac{[\cos^2 (-av) +\cos^2a-2\cos (-av) \cos a]}{1+v} dv\;=\;\int_{-1}^0\frac{[\cos^2 (av) +\cos^2a-2\cos (av) \cos a]}{1+v} dv[/tex]...

Therefore
[tex]2\int_0^1\frac{[\cos^2 (au) +\cos^2a-2\cos (au) \cos a]}{1-u^2} du\;=\;\int_{0}^1\frac{[\cos^2 (au) +\cos^2a-2\cos (au) \cos a]}{1+u} du\;+\;\int_{-1}^0\frac{[\cos^2 (au) +\cos^2a-2\cos (au) \cos a]}{1+u} du[/tex]

[tex]\Rightarrow\;2\int_0^1\frac{[\cos^2 (au) +\cos^2a-2\cos (au) \cos a]}{1-u^2} du\;=\;\int_{-1}^1\frac{[\cos^2 (au) +\cos^2a-2\cos (au) \cos a]}{1+u} du[/tex]

How does this look?

It looks good to me.
 
  • #16
SammyS said:
He is decomposing ##\displaystyle \ \frac{2}{1-u^2}\ ## not ##\displaystyle \ \frac{1}{1-u^2}\ .##

I agree that 1/(1+u) + 1/(1-u) = 2 / (1-u^2), but his partial fraction decomp says that his unknowns A = B = 1/2, which is incorrect according to his initial assumption. It is a minor point, but one should endeavor to be correct in all details.
 
  • #17
Thanks for the help from everybody.
 
  • #18
SteamKing said:
I agree that 1/(1+u) + 1/(1-u) = 2 / (1-u^2), but his partial fraction decomp says that his unknowns A = B = 1/2, which is incorrect according to his initial assumption. It is a minor point, but one should endeavor to be correct in all details.

It was late, I was sloppy, it should be ##2\frac 1 {1-u^2}## and A=B=##\frac 1 2##.
 
  • #19
This is a new question all together, but it is on the same page of the derivation. I cannot follow the derivation of the notes. Here is my derivation starting from (1) or the notes.

[tex]I_{int}=\frac 1 2 \int_{-1}^1\frac{[1+\cos(klu)+1+\cos(kl)]}{(1+u)}du\;-\;\int_{-1}^1\frac{\cos\left (\frac{kl}{2}(1+u)\right)+\cos\left (\frac{kl}{2}(1-u)\right) }{(1+u)}du[/tex]
[tex]\hbox {Let }\;(1+u)kl=v\;\Rightarrow\;v=(kl+klu),\;u=(\frac {v}{kl}-1),\;(1+u)=\frac {v}{kl}, \;\hbox { and } \;du=\frac {dv}{kl}[/tex]

[tex]\Rightarrow\; I_{int}=\frac 1 2 \int_0^{2kl} \frac {[2 + \cos (v-kl)+\cos(kl)]}{v} dv-\int_0^{2kl}\frac{\cos\left(\frac v 2 \right)}{v}dv-\int_{-1}^1 \frac{\cos\left[\frac{kl}{2}(1-u)\right]}{1+u}du[/tex]
[tex]\hbox {For the second term, let }\; w=\frac v 2 \;\hbox { and then Let } v=w \hbox { later}[/tex]
[tex]\Rightarrow\; I_{int}=\frac 1 2 \int_0^{2kl} \frac {[2 + \cos (v-kl)+\cos(kl)]}{v} dv-\int_0^{kl}\frac{\cos(v)}{v}dv-\int_{-1}^1 \frac{\cos\left[\frac{kl}{2}(1-u)\right]}{1+u}du[/tex]
[tex]\Rightarrow\; I_{int}=\frac 1 2 \int_0^{2kl} \frac {[2 +\cos(kl)]}{v} dv+ \frac 1 2 \int_0^{2kl} \frac { \cos (v-kl)}{v} dv -\int_0^{kl}\frac{\cos(v)}{v}dv-\int_{-1}^1 \frac{\cos\left[\frac{kl}{2}(1-u)\right]}{1+u}du[/tex]


Now compare the line (2) in the scanned notes:
[tex]\Rightarrow\; I_{int}=\frac 1 2 \int_0^{2kl} \frac {[2 + \cos (klv)+\cos(kl)]}{v} dv-\int_0^{kl}\frac{\cos(v)}{v}dv-\int_{-1}^1 \frac{\cos\left[\frac{kl}{2}(1-u)\right]}{1+u}du[/tex]
[tex]\Rightarrow\; I_{int}=\frac 1 2 \int_0^{2kl} \frac {[2 +\cos(kl)]}{v} dv+ \frac 1 2 \int_0^{2kl} \frac { \cos (klv)}{v} dv -\int_0^{kl}\frac{\cos(v)}{v}dv-\int_{-1}^1 \frac{\cos\left[\frac{kl}{2}(1-u)\right]}{1+u}du[/tex]

If you compare the equation I derive with (2) of the notes, the only terms that is different is:
[tex]\frac 1 2 \int_0^{2kl} \frac { \cos (v-kl)}{v} dv\;\hbox { from my equation to }\;\frac 1 2 \int_0^{2kl} \frac { \cos (klv)}{v} dv\;\hbox { from the notes.}[/tex]

I just don't see how I can get the answer from the notes. As you see, I separate the longer integration into two parts. I am pretty sure I did this right this time...hopefully. Please help.

I attach the whole page of the notes as I might have more question coming and I might have typos. This is a difficult derivation that involve sine and cosine integral and I am rusty in math! I am not math major, I do this as part of the derivation of radiating power of antenna. I am not like you guys that are in "mid season condition"!:smile:. Everything is rusty for me and need some kick start! What I posted is from equation (1) to (2) in the notes.
 

Attachments

  • Integration.jpg
    Integration.jpg
    40.4 KB · Views: 345
Last edited:
  • #20
It's generally the case that a new question should be posted in a new thread. This is no exception.

If this question were very closely related to the one that you started this thread with, it might be justified to tack this on to the the thread, but that is not the case here.
 
  • #21
SammyS said:
It's generally the case that a new question should be posted in a new thread. This is no exception.

If this question were very closely related to the one that you started this thread with, it might be justified to tack this on to the the thread, but that is not the case here.

Sorry, I posted it on a new thread already. Please delete my last post as I cannot do it myself and close this thread.
 

Similar threads

  • · Replies 5 ·
Replies
5
Views
3K
  • · Replies 8 ·
Replies
8
Views
2K
  • · Replies 1 ·
Replies
1
Views
2K
  • · Replies 7 ·
Replies
7
Views
2K
  • · Replies 9 ·
Replies
9
Views
2K
  • · Replies 12 ·
Replies
12
Views
3K
  • · Replies 27 ·
Replies
27
Views
3K
Replies
5
Views
2K
  • · Replies 2 ·
Replies
2
Views
2K
  • · Replies 4 ·
Replies
4
Views
2K