Integration Homework: Substitution, Partial Fraction, By Parts

  • Thread starter Thread starter kishlaysingh
  • Start date Start date
  • Tags Tags
    Integration
Click For Summary

Homework Help Overview

The discussion revolves around the integration of a function that appears to be complex, with participants exploring various methods such as substitution, partial fractions, and integration by parts. The original poster expresses difficulty in simplifying the integral despite attempts with these techniques.

Discussion Character

  • Exploratory, Assumption checking

Approaches and Questions Raised

  • Participants discuss the use of substitution and integration by parts, with one participant noting the expansion of a polynomial and introducing a substitution variable. There is also mention of the integral being non-elementary, raising questions about the nature of the function and its integrability.

Discussion Status

The conversation has highlighted the complexity of the integral, with some participants suggesting that it cannot be expressed in terms of elementary functions. There is an acknowledgment of the non-elementary nature of the integral, which has been rigorously proven, leading to a broader exploration of possible representations.

Contextual Notes

Participants are operating under the constraints of homework rules that limit the use of certain methods and are grappling with the implications of the integral being non-elementary.

kishlaysingh
Messages
5
Reaction score
0

Homework Statement


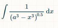
integrate
integral.JPG


Homework Equations


please solve this using methods only like
1. Substitution
2.Partial fraction
3.By Parts

The Attempt at a Solution


i have tried all the above three methods mainly using substitution and by parts...
i have expanded the a^3 - x^3 and then kept the a/2 - x as "p" but still the function doesn't simplify
 
Physics news on Phys.org
What context did this appear in? It doesn't appear to have an elementary antiderivative.
 
kishlaysingh said:

Homework Statement


integrate
View attachment 80770

Homework Equations


please solve this using methods only like
1. Substitution
2.Partial fraction
3.By Parts

The Attempt at a Solution


i have tried all the above three methods mainly using substitution and by parts...
i have expanded the a^3 - x^3 and then kept the a/2 - x as "p" but still the function doesn't simplify

The integral is "non-elementary", so cannot be done in terms of a finite expression involving only elementary functions (such as powers, roots, trigonometric functions and their inverses, exponentials and logarithms, etc.). However, it can be expressed in terms of the non-elementary "elliptic functions", or it can be expressed in terms of an infinite series of elementary functions.

Note: the non-elementary nature of the integral is a theorem that has been proven rigorously. It is not just a matter of somebody not being smart enough to figure out how to do the integral (in finitely many terms and factors of elementary functions); rather, it has been proven to be impossible. So, even if you allow yourself to use a formula taking 10 billion pages to write out in detail, it still would not be the answer to your question!
 
ok, fine then...:oldcry:
 

Similar threads

  • · Replies 8 ·
Replies
8
Views
2K
  • · Replies 8 ·
Replies
8
Views
2K
  • · Replies 16 ·
Replies
16
Views
3K
  • · Replies 1 ·
Replies
1
Views
1K
  • · Replies 12 ·
Replies
12
Views
2K
  • · Replies 4 ·
Replies
4
Views
2K
Replies
3
Views
2K
  • · Replies 12 ·
Replies
12
Views
2K
  • · Replies 6 ·
Replies
6
Views
2K
  • · Replies 22 ·
Replies
22
Views
2K