Solve Integration Homework: Prove Integral in Attachment

  • Thread starter Thread starter zhulihuang
  • Start date Start date
  • Tags Tags
    Integration
Click For Summary

Homework Help Overview

The discussion revolves around proving an integral presented in an attachment, which involves integration techniques and substitutions. The subject area includes calculus, specifically integration methods and trigonometric substitutions.

Discussion Character

  • Exploratory, Mathematical reasoning, Assumption checking

Approaches and Questions Raised

  • The original poster attempts various methods such as integration by parts and trigonometric substitution. They mention a specific substitution that leads to arcsin and then arctan, questioning the validity of their transformation. Participants inquire about the steps taken and suggest showing more of the work to facilitate guidance.

Discussion Status

Participants are engaging in a collaborative exploration of the problem, with some offering encouragement and prompting the original poster to share their thought process and reasoning. There is a focus on understanding the integral's setup and the implications of the substitutions made.

Contextual Notes

There is mention of potential complications due to the behavior of the integrand at certain values, specifically regarding the square root term, and the possibility of needing a delta function to address these issues. The original poster's substitutions and reasoning are questioned, indicating a need for clarification on their approach.

zhulihuang
Messages
1
Reaction score
0

Homework Statement


Please prove the integral in the attachment

Homework Equations


The Attempt at a Solution


Tried many ways to solve it. Integration by parts, trig sub etc.
The closest one is the substitution $U=\frac{r^2}{2}-\frac{R^2/2}+x^2$, which gives some arcsin. I change it into arctan, but it is not the arctan mathematica shows. I guess it has something to do with the $\sqrt{R^2 - x^2}$, since it will blow up at R. May need delta function to handle it.
 

Attachments

  • QQ??20130124222700.jpg
    QQ??20130124222700.jpg
    3.7 KB · Views: 448
Last edited:
Physics news on Phys.org
Welcome to PF;
Please prove the integral in the attachment
Nice try :)
This is your homework - we can help you where you get stuck but you have to do the work.

Please give it a go and show your working as far as you get.
Try to describe how you are thinking about the problem as you go.
Don't worry about looking stupid - we've all done this before: you are among understanding, and friendly, people here.
 
You tried many ways- please show us at least some. If possible one where you feel you came closest to solving the problem. That will make it easier to give suggestions.
 
Tried many ways to solve it. Integration by parts, trig sub etc.
The closest one is the substitution ##U=\frac{r^2}{2}-\frac{R^2}{2}+x^2##, which gives some ##\arcsin##. I change it into ##\arctan##, but it is not the ##\arctan## Mathematica shows. I guess it has something to do with the ##\sqrt{R^2 - x^2}##, since it will blow up at ##R##. May need delta function to handle it.
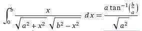
Well your integral (off the supplied attachment) seems to be: $$\int_0^b \frac{x.dx}{\sqrt{a^2+x^2}\sqrt{b^2-x^2}}=\frac{a\arctan(b/a)}{\sqrt{a^2}}$$ ... since there is no ##r## or ##R## in the integrand, it is difficult to see your reasoning behind the substitution. From context - I'm guessing R=b and r=a?

Considering the arctan in the solution - perhaps a substitution like ##x=a\tan\theta## and a table of trig identities will be the way to go?
Did you try that?

However, HallofIvy is right - it is better for you to go step-by-step through the one you felt got the closest.
So you made the substitution: what was the next step?

(I know: it's a pain typing out the math. Use the "quote" button off the bottom of this post and see how I was able to type the math out ... you can copy and paste then make minor adjustments.)
 
Last edited:

Similar threads

  • · Replies 105 ·
4
Replies
105
Views
12K
Replies
10
Views
2K
Replies
3
Views
2K
  • · Replies 14 ·
Replies
14
Views
2K
  • · Replies 9 ·
Replies
9
Views
3K
  • · Replies 22 ·
Replies
22
Views
3K
  • · Replies 2 ·
Replies
2
Views
2K
  • · Replies 5 ·
Replies
5
Views
2K
Replies
3
Views
2K
Replies
7
Views
3K