Integration using exponentials 2

  • Thread starter Thread starter g.lemaitre
  • Start date Start date
  • Tags Tags
    Integration
Click For Summary

Homework Help Overview

The discussion revolves around integration techniques involving exponential functions, specifically addressing the steps in a problem related to a change of variables and the properties of integrals. The original poster expresses confusion about the derivation of certain terms and the reasoning behind specific steps in the solution process.

Discussion Character

  • Exploratory, Assumption checking, Conceptual clarification

Approaches and Questions Raised

  • Participants discuss the origin of the term (u+a) resulting from a change of variables, the implications of the integrand being an odd function, and the calculation of an expectation value. Questions are raised about the clarity of the steps involved in the integration process.

Discussion Status

Some participants provide insights into the reasoning behind the steps, while others express concerns about the difficulty of the material and the original poster's motivation to engage with the subject. There is an acknowledgment of the challenges faced in understanding the integration process without a solid foundation in calculus.

Contextual Notes

The original poster indicates a lack of motivation to revisit foundational calculus concepts, which may affect their ability to grasp the current problem. There is a suggestion that the complexity of the assignments may be beyond their current level of understanding.

g.lemaitre
Messages
267
Reaction score
2

Homework Statement




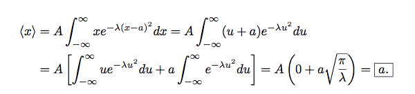
Screenshot2012-10-17at24825AM.png


For this forum they use the following integration:

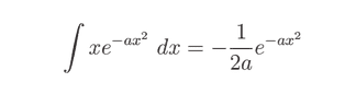
Screenshot2012-10-17at24832AM.png




The Attempt at a Solution



Where does (u+a) come from? In step 2 why does the side on the left of the plus sign become zero? In step 3, how does A(0+a√π/λ) = a

This website likes you to work on problems but I can't work on something for which step 1 is a mystery.
 
Physics news on Phys.org
g.lemaitre said:
Where does (u+a) come from?
They do a change of variables, x-a = u, so x= u+a

g.lemaitre said:
In step 2 why does the side on the left of the plus sign become zero?
The easiest way to see this is to notice that the integrand is an odd function (that is, f(-x) = -f(x)) and therefore the integral over an even interval [-n,n] is zero.

g.lemaitre said:
In step 3, how does A(0+a√π/λ) = a
Did they calculate the value for A before? What you are doing here is calculating an expectation value of a random variable, so it should be true that
[tex]\int_{-\infty}^\infty dx Ae^{-\lambda(x-a)^2} dx = 1[/tex]

g.lemaitre said:
This website likes you to work on problems but I can't work on something for which step 1 is a mystery.
Yes but you can't explain every single operation you do. It just seems to me you're trying to do assignments which are a bit too difficult for you. Maybe start from something easier?
 
Thanks for your answers.

Yes but you can't explain every single operation you do. It just seems to me you're trying to do assignments which are a bit too difficult for you. Maybe start from something easier?

Let's say my motivation to learn math and science right now (I'm into the humanities) on a scale of 1 to 10 is about 3. I don't have the motivation to go back and learn more calculus. I just want to see how much QM I can get through with the calc I have. Then after about 2 years hopefully I'll be able to make another effort to learn math and physics with a huge burst of motivation. This time around I dedicated about 1000 hours towards math and physics, after a two year break I'll put forth another 1000 hour effort if I have the time.
 
g.lemaitre said:
Thanks for your answers.



Let's say my motivation to learn math and science right now (I'm into the humanities) on a scale of 1 to 10 is about 3. I don't have the motivation to go back and learn more calculus. I just want to see how much QM I can get through with the calc I have. Then after about 2 years hopefully I'll be able to make another effort to learn math and physics with a huge burst of motivation. This time around I dedicated about 1000 hours towards math and physics, after a two year break I'll put forth another 1000 hour effort if I have the time.

But it does not speed things up if you jump over things you haven't learned/have forgotten/whatever. In fact it's likely it's making your learning slower.
 

Similar threads

Replies
7
Views
3K
Replies
3
Views
2K
  • · Replies 14 ·
Replies
14
Views
2K
Replies
10
Views
2K
  • · Replies 11 ·
Replies
11
Views
1K
  • · Replies 9 ·
Replies
9
Views
2K
  • · Replies 3 ·
Replies
3
Views
2K
  • · Replies 3 ·
Replies
3
Views
3K
  • · Replies 5 ·
Replies
5
Views
2K
  • · Replies 9 ·
Replies
9
Views
3K