Interference - two waves of different frequencies - beat velocity

Click For Summary

Discussion Overview

The discussion revolves around the phenomenon of beats resulting from the interference of two plane waves with different frequencies and directions. Participants explore the modulation speed of the interference pattern along the z-axis and its implications, particularly regarding whether this speed can exceed the speed of light.

Discussion Character

  • Exploratory
  • Technical explanation
  • Debate/contested

Main Points Raised

  • One participant describes the setup involving two waves with different frequencies and angles, questioning the modulation speed and its potential to exceed the speed of light.
  • Another participant argues that the modulation speed is not limited by the speed of light because it represents a feature in a pattern rather than a physical wave or particle speed.
  • A follow-up question is posed regarding the behavior of a particle confined to the modulation maxima, particularly if the modulation speed exceeds c, suggesting the particle might "slip" to the next maximum.
  • Another participant challenges the assumption that the particle would move at all, questioning the forces acting on it to cause such motion.
  • A participant acknowledges a need to review their understanding of optical tweezers in light of the discussion.

Areas of Agreement / Disagreement

Participants express differing views on the implications of modulation speed exceeding the speed of light, with some asserting it is not a physical limitation while others question the conditions under which a particle would move in the interference pattern. The discussion remains unresolved regarding the behavior of the particle and the nature of modulation speed.

Contextual Notes

Participants reference concepts such as phase velocity and group velocity without reaching a consensus on their implications for modulation speed. There is also uncertainty regarding the forces acting on the particle in the context of optical tweezers.

LmdL
Messages
72
Reaction score
1
Hello,
I'm considering the "beats" phenomena. I have two plane waves in some medium with a refractive index n(ω), one propagates in a z direction and second in a direction making an angle θ with z axis. Waves have frequencies ω1, ω2 (not necessarily equal) and k-vectors k1, k2 (not necessarily equal):

pic.png


Now, I'm interested in interference (in the area where both waves overlap) along the z axis direction. I can write the initial fields contributions along the z axis as
p1.png

So their sum is
p2.png

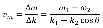
First cosine is the envelope modulation and second is the carrier wave. Now, my question is regarding the modulation speed. As far as I understand, the above describes the beats phenomena. Or, alternatively, an interference pattern with a period of 2π/Δk that moves in time. If I'm right, the modulation speed reads
p3.png

And here is the question: this speed can exceed c (speed of light), once I change the θ. For some θ I can even get an infinite vm (when denominator vanishes). On the other hand, modulation speed should be limited by the speed of light. What I'm missing here?
The possibilities that I thought of:
1. This modulation speed is a sinusoidal and cannot transfer any information, thus isn't limited by c.
2. The expression for vm is correct, but for values of θ that lead to vm>c it should be constrained vm=c .
3. The expression for vm is an expression for phase velocity and I should use d(Δω)/d(Δk) instead (group velocity). However, in this case I also get velocities that exceed c (checked numerically).

Any advice or thoughts are appreciated.
Thank you.
 
Science news on Phys.org
The modulation speed need not be limited by c because it is not the speed of a particle or wave. It is the speed of a feature in a pattern, which is an abstract, non-physical concept, and hence not limited by the speed of light.
As another example of how this can happen, consider a powerful, perfect laser mounted perpendicularly on an axle in the middle of a sphere with radius one light second and pointing directly at the sphere's inner surface. The laser rotates on the axle at a rate of one full rotation per 3 seconds, so that the dot of light it makes on the sphere's inner surface traverses a full equatorial circle of the sphere in that time - distance covered = 2 pi light seconds - more than twice the speed of light. Yet the laser itself is only moving quite slowly. This can happen because the only thing moving on the sphere's inner surface is a feature in a pattern - not a physical thing limited by c.
 
  • Like
Likes   Reactions: LmdL
Thank you for your reply. I got your point. I have an additional question: let's suppose I place a particle on the z axis (in the waves overlapping area) and restrict it to move along z axis, for example by adding two transparent parallel to z axis plates, one slightly above it and one slightly below. Particle is then confined to one of the modulation wave maxima (similar to optical tweezers). What will happen now? I suppose that if vm is below c, the particle will move with that speed along the z axis, being in the area of the modulation maximum it was confined to from the beginning. What if vm>c? Particle will "slip" to the next maximum to the left, and then again, and again, and so forth? Is this correct?
 
Why would the particle move at all? What force are you expecting to act on the particle to accelerate it out of a stationary state?
 
Never mind. I need to review my understading of optical tweezers. Thank you for your help!
 

Similar threads

  • · Replies 15 ·
Replies
15
Views
1K
  • · Replies 10 ·
Replies
10
Views
3K
  • · Replies 6 ·
Replies
6
Views
2K
  • · Replies 2 ·
Replies
2
Views
1K
  • · Replies 2 ·
Replies
2
Views
6K
  • · Replies 19 ·
Replies
19
Views
2K
  • · Replies 3 ·
Replies
3
Views
2K
  • · Replies 21 ·
Replies
21
Views
3K
Replies
3
Views
2K
  • · Replies 8 ·
Replies
8
Views
2K