Internal Energy of Degenerate Fermi ideal gas to the 4th power

Click For Summary

Homework Help Overview

The discussion revolves around deriving the expression for the internal energy of an ideal Fermi degenerate gas using Sommerfeld expansions, specifically focusing on terms up to the fourth order in the ratio of temperature to Fermi temperature. The original poster seeks to determine a coefficient in the internal energy expression while referencing Kubo's text on Statistical Mechanics.

Discussion Character

  • Exploratory, Conceptual clarification, Mathematical reasoning

Approaches and Questions Raised

  • Participants discuss the need to express the chemical potential in terms of temperature and Fermi temperature, and the original poster attempts to follow Kubo's derivation but struggles with the approximations leading to a specific equation. Others suggest using Taylor expansions and clarifying the treatment of variables in the context of the expansions.

Discussion Status

The discussion is ongoing, with participants providing guidance on how to approach the Taylor expansion and the relationship between the chemical potential and the Fermi energy. There is an acknowledgment of the challenges faced in deriving the desired expression, and multiple interpretations of the steps involved are being explored.

Contextual Notes

Participants note the complexity of the derivation and the necessity of approximations, particularly in handling the expansions around different variables. The original poster expresses uncertainty about the steps leading to the required approximation, indicating a lack of consensus on the method to proceed.

Othin
Messages
34
Reaction score
1

Homework Statement


We are asked to derive the expression for the internal energy of an ideal Fermi degenerate gas using Sommerfeld expansions, writing out terms up to the fourth order in ##(\frac{T}{T_F} )## , that is, we must determine ## \alpha ## in the following expression: $$ U= \frac{3}{5}N\varepsilon_F \left\{ 1 + \frac{5\pi ^2}{12} {\left( \frac{T}{T_F}\right)}^2 + \alpha {\left( \frac{T}{T_F}\right)}^4 \right\}$$
The method is basically the one used in the text of Kubo on Statistical Mechanics.

Homework Equations


We're treating the 3-D "particle in a box" model with periodic boundary conditions, so that the energy spectrum is given by: $$\varepsilon_k = \left( \frac{\hbar^2 k^2}{2m} \right) , k=\left( 2n\pi /L \right)$$
We are also supposing that the number of particles is sufficiently large for we to approximate the summations characteristic of a discrete spectrum by integrals. We then have:
$$
N= \gamma V \int_0^\infty D(\varepsilon)f(\varepsilon) d\varepsilon, \\
U= \gamma V \int_0^\infty \varepsilon D(\varepsilon)f(\varepsilon) d\varepsilon \\
$$
where ## \gamma ## takes the spin degeneracy into account and:
$$
D( \varepsilon ) = \frac{1}{4 \pi^2} {\left( \frac{2m}{\hbar ^2} \right)}^{3/2} \varepsilon ^{1/2} \equiv C \varepsilon ^{1/2} ,\ \ f(\varepsilon) = \frac{1}{exp[\frac{\varepsilon - \mu}{k_bT}] + 1}.
$$
The Sommerfeld expansion is also given, whereby we can solve integrals of the form ## I = \int_0^\infty f(\varepsilon) \psi(\varepsilon) d{\varepsilon}## :
$$
I = \int_0^{\mu}\psi(\varepsilon) d\varepsilon + \frac{1}{2!}I_2 {\left( \frac{d \psi}{ d \varepsilon} \right)}_{\varepsilon= \mu} + \frac{1}{4!}I_4 {\left( \frac{d^3 \psi}{ d\varepsilon^3} \right)}_{\varepsilon= \mu} + ...
$$
Within approximations, the integral ##I_2## and ##I_4## are taken to equal, respectively, ## \frac{\pi^2 (k_bT)^2}{3} ## and ## \frac{7 \pi^4}{15}(k_bT)^4##

The Attempt at a Solution


[/B]
Since U must be given in powers of ##T/T_F ##, we must first use the equation for N in order to write #/mu# in terms of T and #T_F#. Therefore, for N:

$$
\psi(\varepsilon) = \varepsilon^{1/2} \implies N = \gamma VC \left \{ \frac{2}{3}\mu^{3/2} + \frac{\pi ^2}{12} (k_b T)^2 \mu^{1/2} - \frac{3}{8} \frac{1}{4!} \mu^{\frac{-5}{2}}I_4 + ... \right \} \\
$$
$$
\frac{N}{\gamma VC}= \frac{2}{3} \mu^{3/2} \left[ 1 + \frac{\pi^2}{8}\left (\frac{k_b T}{\mu} \right)^2 + \left( \frac{7 \pi^4}{640} \right) \left (\frac{k_bT}{\mu} \right)^4 \right]
$$
Now, after this expression Kubo (and other books I've checked) make some kind of expansion around ## \mu_o ## and arrive at the following expression:
$$
\mu = \mu_o \left[1- \frac{\pi^2}{12} \left( \frac{k_b T}{\mu_o}\right)^2 - \frac{\pi^4}{80} \left( \frac{k_b T}{\mu_o}\right)^4 \right]
$$
and , no matter how I try, I can't get anything like that last expression (I managed to get the first term by truncating the series and using a binomial expansion to the first order, but when I include the next power I can't make it work)
 
Physics news on Phys.org
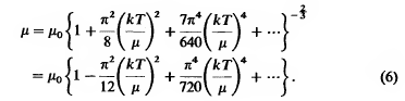
I have a copy of Kubo. Are you OK with his derivation up through equation (6) on page 241?
upload_2016-12-3_21-45-17.png
 
TSny said:
I have a copy of Kubo. Are you OK with his derivation up through equation (6) on page 241?
View attachment 109883
Hi! Well, no, I don't get the approximation that leads to equation (6), though I'm ok with the one above it. Don't know how to solve that equation.
 
To get the second equation of (6) from the first equation, write the bracket part of the top equation as ##f(x) = \left(1 + a x + b x^2 \right )^{-2/3} ## where ##x = \left( \frac{kT}{\mu} \right)^2## and do a Taylor expansion about ##x = 0## to second order in x.

Or, are you having difficulty getting to the first equation of (6)?
 
  • Like
Likes   Reactions: Othin
TSny said:
To get the second equation of (6) from the first equation, write the bracket part of the top equation as ##f(x) = \left(1 + a x + b x^2 \right )^{-2/3} ## where ##x = \left( \frac{kT}{\mu} \right)^2## and do a Taylor expansion about ##x = 0## to second order in x.

Or, are you having difficulty getting to the first equation of (6)?
Wow, thanks a lot! I was carrying the expansion around the ## \mu_o##. So, let me see if I got it right: I make a Taylor expansion around x=0, but that implies T=0, and, for that reason and the definition of the fermi energy, I wrtite ##\mu_o ## insead of ## \mu##?
 
You are just treating ##x = \left(\frac{kT}{\mu} \right)^2## as small compared to 1. In the Taylor expansion, you will still write ##x## with ##\mu## rather than ##\mu_0##. Note how the bracketed expression in the second equation in (6) is still in terms of ##\mu##.

You will still have some work to do to get from (6) to (7), where the right-hand side is in terms of ##\mu_0##.
 
  • Like
Likes   Reactions: Othin
TSny said:
You are just treating ##x = \left(\frac{kT}{\mu} \right)^2## as small compared to 1. In the Taylor expansion, you will still write ##x## with ##\mu## rather than ##\mu_0##. Note how the bracketed expression in the second equation in (6) is still in terms of ##\mu##.

You will still have some work to do to get from (6) to (7), where the right-hand side is in terms of ##\mu_0##.
From (6) to (7) must I do another expansion (around ##\mu_o##)? There is no equation relating ## \mu_o \text{and } \mu## that I remember, but neither my expansions around ##\mu_o## nor T=0 lead to the desired expression :(.
 
To fist order in ##x =\left( \frac{kT}{\mu} \right)^2##, (6) tells you that ##\mu = \mu_0 \left\{1-\frac{\pi^2}{12} \left( \frac{kT}{\mu} \right)^2 \right\}##.

Convince yourself that this is still accurate to first order if you replace ##\mu## by ##\mu_0## in the last term on the right. So, you get the first-order approximation given in Kubo below equation (6).

To get the second-order approximation in ##\left( \frac{kT}{\mu} \right)^2##, you need to go back to (6). In the second term inside the { }, you need to substitute for ##\mu## the first-order expression given just below (6). This term can then be approximated to order ##\left( \frac{kT}{\mu} \right)^4##. The third term in the { } in (6) is easy to approximate to order ##\left( \frac{kT}{\mu_0} \right)^4## by just letting ##\mu = \mu_0##.
 
  • Like
Likes   Reactions: Othin

Similar threads

  • · Replies 2 ·
Replies
2
Views
3K
  • · Replies 4 ·
Replies
4
Views
2K
Replies
6
Views
3K
Replies
4
Views
1K
  • · Replies 15 ·
Replies
15
Views
3K
  • · Replies 5 ·
Replies
5
Views
4K
  • · Replies 0 ·
Replies
0
Views
2K
  • · Replies 1 ·
Replies
1
Views
2K
  • · Replies 1 ·
Replies
1
Views
2K
  • · Replies 2 ·
Replies
2
Views
2K