Is sin(nπ) always equal to zero for integer n?

  • Thread starter Thread starter ainster31
  • Start date Start date
  • Tags Tags
    Orthogonal Set
Click For Summary
SUMMARY

The discussion confirms that sin(nπ) is always equal to zero for any integer n. This is established through the fundamental properties of the sine function, specifically its periodic nature and the fact that sine of any integer multiple of π results in zero. The participants emphasize the importance of understanding trigonometric identities to grasp this concept fully.

PREREQUISITES
  • Understanding of trigonometric functions
  • Familiarity with the unit circle
  • Knowledge of periodic functions
  • Basic algebra skills
NEXT STEPS
  • Study the unit circle and its relation to trigonometric functions
  • Learn about the periodic properties of sine and cosine functions
  • Explore trigonometric identities and their proofs
  • Practice solving trigonometric equations involving integer multiples of π
USEFUL FOR

Students studying trigonometry, educators teaching mathematical concepts, and anyone seeking to improve their understanding of trigonometric functions and identities.

ainster31
Messages
158
Reaction score
1

Homework Statement



ZI9L53P.png


Homework Equations


The Attempt at a Solution



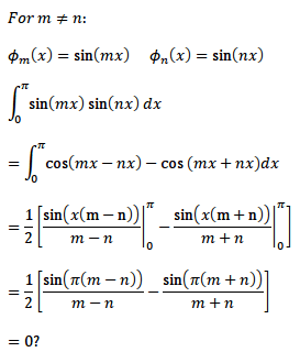
zPYzL5K.png


I'm not sure how to prove that it is zero. I don't see what I can do after the second last step.
 
Physics news on Phys.org
What does sin(integer*pi) equal?
 
  • Like
Likes   Reactions: 1 person
arildno said:
What does sin(integer*pi) equal?

It's equal to zero.

Wow. My trigonometry is terrible.
 

Similar threads

  • · Replies 3 ·
Replies
3
Views
2K
  • · Replies 20 ·
Replies
20
Views
3K
  • · Replies 2 ·
Replies
2
Views
3K
  • · Replies 1 ·
Replies
1
Views
2K
  • · Replies 104 ·
4
Replies
104
Views
8K
  • · Replies 3 ·
Replies
3
Views
2K
  • · Replies 1 ·
Replies
1
Views
2K
Replies
5
Views
2K
  • · Replies 13 ·
Replies
13
Views
5K
  • · Replies 9 ·
Replies
9
Views
2K