Is there an analytical solution to this equation?

Click For Summary
SUMMARY

The discussion centers on the analytical solution of a differential equation derived from the rocket equation with air resistance, specifically using the drag model for a Reynolds number (Re) around 15000. The second drag model, F_drag=1/2*A*rho*CD*v^2, is identified as the most appropriate for this scenario. Participants conclude that there is no closed-form solution unless specific parameters such as mass loss rate and exhaust velocity are finely tuned. Additionally, testing simplified equations with tools like Wolfram Alpha is suggested for further exploration.

PREREQUISITES
  • Understanding of differential equations
  • Familiarity with the rocket equation
  • Knowledge of fluid dynamics, specifically drag models
  • Experience using computational tools like Wolfram Alpha
NEXT STEPS
  • Research the derivation and applications of the rocket equation with air resistance
  • Learn about Reynolds number and its significance in fluid dynamics
  • Explore numerical methods for solving differential equations
  • Investigate advanced computational tools for simulating physical systems
USEFUL FOR

Students and professionals in aerospace engineering, physicists studying motion in fluid environments, and anyone interested in solving complex differential equations related to dynamics and drag forces.

MigMRF
Messages
15
Reaction score
0
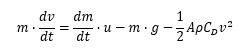
So I've derived the rocket equation in empty space and with constant gravity. Now I am interested in adding air resistance. I'm aware that there are 2 different models as if 0<Re<1 then F_drag=k*v and if 1000<Re<30000 then F_drag=1/2*A*rho*CD*v^2. And for my purpose the second model is most fitting (my Re is around 15000. So I've come up with a differentialequation and was wondering if there actually is a solution. Here is my equation:
1576411179923.png

So first of all, is the equation correct. I'm kind of new to differential equations.
And if it's correct then is there an analytical solution.

I'd like some help on this one :D
 
Physics news on Phys.org
There's no closed form solution for that equation unless you find a way to set the mass loss rate, exhaust velocity and air resistance parameters just right to "accidentally" make this have a simple solution.

You can test this by putting some simplified equations of the same type, e.g.

##\displaystyle (1-at)\frac{d^2 x}{dt^2} =b-\left(\frac{dx}{dt}\right)^2##

to Wolfram Alpha for it to try to solve them.
 

Similar threads

  • · Replies 17 ·
Replies
17
Views
3K
  • · Replies 6 ·
Replies
6
Views
4K
  • · Replies 11 ·
Replies
11
Views
4K
  • · Replies 1 ·
Replies
1
Views
2K
  • · Replies 15 ·
Replies
15
Views
2K
  • · Replies 7 ·
Replies
7
Views
6K
  • · Replies 4 ·
Replies
4
Views
6K
  • · Replies 4 ·
Replies
4
Views
4K
  • · Replies 3 ·
Replies
3
Views
9K
  • · Replies 8 ·
Replies
8
Views
5K