Is Turbulence at Point A Isotropic? Calculation Help

Click For Summary

Discussion Overview

The discussion centers around determining whether turbulence at a specific location (point A) in a fully developed turbulent pipe flow is isotropic. Participants explore the implications of measured root mean square (rms) values of velocity fluctuations in different directions, and whether these measurements can be used to assess isotropy.

Discussion Character

  • Homework-related
  • Technical explanation
  • Debate/contested

Main Points Raised

  • One participant questions if turbulence at point A is isotropic based on two measured rms values of velocity fluctuations (7.55 and 0.335).
  • Another participant suggests that if the rms velocity fluctuations do not match in two directions, then the turbulence is not isotropic.
  • It is noted that turbulent pipe flow is generally not isotropic, but may become more isotropic further from the walls.
  • Some participants discuss the significance of having only two velocity components measured, noting that three components are necessary to fully assess isotropy.
  • There is a discussion about whether the measured rms values correspond to axial and radial fluctuations, and if assumptions can be made about circumferential fluctuations based on radial measurements.
  • Participants express uncertainty about calculating the tangential component from the two rms measurements and whether additional measurements at other points (B and C) would be beneficial.
  • There is a calculation of turbulent kinetic energy based on the assumption that circumferential fluctuations are similar to radial fluctuations, leading to confusion about the correct approach.

Areas of Agreement / Disagreement

Participants do not reach a consensus on whether the turbulence at point A is isotropic. There are multiple competing views regarding the implications of the measured rms values and the necessary conditions for isotropy.

Contextual Notes

Participants express uncertainty regarding the definitions and implications of isotropy in turbulence, as well as the relationship between the measured components and the overall flow characteristics. There are unresolved questions about the calculations needed to fully assess the turbulence at point A.

  • #31
((0.0625)(0.3125)+(0.4625)(0.1125)+(0.5624)(-0.2875)+...)/8
 
Physics news on Phys.org
  • #32
Chestermiller said:
I don't know how you got that average velocity plot, but it doesn't look right. How did you end up with the funny shape?
For the velocity gradient, I get: (7.8625 - 7.525)/0.8

Chet

I plot the average velocity at A (7.525), where I take A as the origin (0,0). Then I plot average velocity at B (7.5375) which is 0.4mm from A (0.4, 7..5375). Then I plot the average velocity at C (7.8625) at 0.8mm from A (0.8, 7.8625).
I then asked ms excel to generate the equation of the linear line and the gradient for me (0.4219).

Understood, (7.8625 - 7.525)/0.8= 0.421875 is a much simpler way to find the derivative,
Thank you Chet!
 
  • #33
Chestermiller said:
((0.0625)(0.3125)+(0.4625)(0.1125)+(0.5624)(-0.2875)+...)/8
Ah, I see, thank you very much Sir! How clueless of me!
 
  • #34
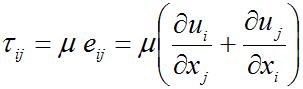
Chestermiller said:
This is not correct. You don't use the rms values of the fluctuations in the two directions. You use the average of the product of the individual fluctuations in the two directions.

You need to use the average velocities at the points A, B, and C to get the derivative of the average velocity.

No. Not for this.

The viscous shear stress is thus: τ = 1.8 * 10-5 * 0.4219.
I was wondering, for the turbulent shear stress, I consider both the fluctuations in the radial and axial direction.
But for the viscous shear stress I only consider the fluctuations at the axial direction.
Why and when do I have to only consider the viscous shear stress in the axial direction?

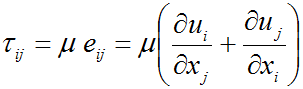
upload_2015-10-29_20-36-40.png
,
upload_2015-10-29_20-36-55.png


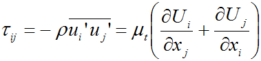
I also attempt to determine the eddy viscosity at B. I read some book which have rather different formulas for eddy viscosity:
McComb (2003) wrote that -ρ×u1'×u2' = ρ×VT×(dU1/dx2) (this book only considers one direction, I don't know why), where VT is the kinematic eddy viscosity.

Pope (2000) wrote that -ρ×u1'×u2' + 2/3 ×ρ×κ×δ12 = ρ×VT×(dU1/dx2)×(dU2/dx1) (this book considers two directions), where κ is the kinetic energy, δ is the Kronecker delta (I'm not sure what it is), VT is the eddy viscosity (without kinematic).

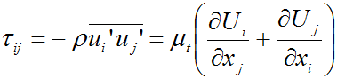
And this lecture online (http://www.bakker.org/dartmouth06/engs150/10-rans.pdf) says that:

upload_2015-10-29_20-52-40.png


where the μt is the eddy viscosity and kinematic turbulent viscosity is actually VT = μt/ρ.

I'm really confused on which equation I should chose and do I have to consider the kinetic energy and kronecker delta to determine the eddy viscosity?
Why does Pope (2000) states that VT is the eddy viscosity (without kinematic) while McComb (2003) states that VT is the kinematic turbulent viscosity?

Thank you very much for the guidance all this time.
 
  • #35
nightingale said:
The viscous shear stress is thus: τ = 1.8 * 10-5 * 0.4219.
I was wondering, for the turbulent shear stress, I consider both the fluctuations in the radial and axial direction.
But for the viscous shear stress I only consider the fluctuations at the axial direction.
Why and when do I have to only consider the viscous shear stress in the axial direction?
Both the viscous stress and the turbulent stress you calculated are on a surface of constant r in the z direction, but also on a surface of constant z in the r direction.
View attachment 90985, View attachment 90986

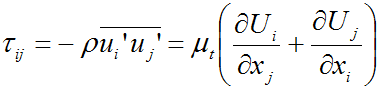
I also attempt to determine the eddy viscosity at B. I read some book which have rather different formulas for eddy viscosity:
McComb (2003) wrote that -ρ×u1'×u2' = ρ×VT×(dU1/dx2) (this book only considers one direction, I don't know why), where VT is the kinematic eddy viscosity.

Pope (2000) wrote that -ρ×u1'×u2' + 2/3 ×ρ×κ×δ12 = ρ×VT×(dU1/dx2)×(dU2/dx1) (this book considers two directions), where κ is the kinetic energy, δ is the Kronecker delta (I'm not sure what it is), VT is the eddy viscosity (without kinematic).

And this lecture online (http://www.bakker.org/dartmouth06/engs150/10-rans.pdf) says that:

View attachment 90987

where the μt is the eddy viscosity and kinematic turbulent viscosity is actually VT = μt/ρ.

I'm really confused on which equation I should chose and do I have to consider the kinetic energy and kronecker delta to determine the eddy viscosity?
Why does Pope (2000) states that VT is the eddy viscosity (without kinematic) while McComb (2003) states that VT is the kinematic turbulent viscosity?

Thank you very much for the guidance all this time.
Your questions are indicating that your fundamental understanding of turbulence and turbulent stresses needs beefing up. You need to understand the fundamentals before you start trying to apply it to problems. I'm going to recommend another book that I hold in high regard, and hope you will consider using it: Transport Phenomena by Bird, Stewart, and Lightfoot, Chapter 5. Physics Forums is just not structured to present a complete primer on Turbulent Flow.

Chet
 
  • #36
Chestermiller said:
Both the viscous stress and the turbulent stress you calculated are on a surface of constant r in the z direction, but also on a surface of constant z in the r direction.

Your questions are indicating that your fundamental understanding of turbulence and turbulent stresses needs beefing up. You need to understand the fundamentals before you start trying to apply it to problems. I'm going to recommend another book that I hold in high regard, and hope you will consider using it: Transport Phenomena by Bird, Stewart, and Lightfoot, Chapter 5. Physics Forums is just not structured to present a complete primer on Turbulent Flow.

Chet

Thank you Sir.

I have borrowed the book you recommend and read chapter 5 and chapter 1 which talk about kronecker delta. I really helps me to understand turbulence better.
I'm still intrigued on why Pope (2000) simply said VT as 'eddy viscosity' when it is, I think, 'kinematic eddy viscosity' but I decided I'll ask my teacher next time I met her.

I now know that the formula I should be using is:

-ρu'v' = μT * dU/dy

Where the μT here is the eddy viscosity.

Earlier the turbulent shear stress is:
τ = -ρu'v'
τ = - 1.2 * ((0.0625)(0.3125)+(0.4625)(0.1125)+(0.5624)(-0.2875)+...)/8
τ = 0.11343

and the velocity gradient is 0.4219

Thus the eddy viscosity is:
0.11343 = μ * 0.4219
μ = 0.27
Did I do right? Thank you very much.
 
  • #37
nightingale said:
Thank you Sir.

I have borrowed the book you recommend and read chapter 5 and chapter 1 which talk about kronecker delta. I really helps me to understand turbulence better.
I'm still intrigued on why Pope (2000) simply said VT as 'eddy viscosity' when it is, I think, 'kinematic eddy viscosity' but I decided I'll ask my teacher next time I met her.

I now know that the formula I should be using is:

-ρu'v' = μT * dU/dy

Where the μT here is the eddy viscosity.

Earlier the turbulent shear stress is:
τ = -ρu'v'
τ = - 1.2 * ((0.0625)(0.3125)+(0.4625)(0.1125)+(0.5624)(-0.2875)+...)/8
τ = 0.11343

and the velocity gradient is 0.4219

Thus the eddy viscosity is:
0.11343 = μ * 0.4219
μ = 0.27
Did I do right? Thank you very much.
Yes. But please make sure the you show the units.
 
  • #38
Chestermiller said:
Yes. But please make sure the you show the units.

Thank you, Sir. I take the unit of the eddy viscosity as Pa.s.

I attempt to do the last question, which asked me to determine the production of the turbulence energy at B.
I found that the corresponding formula is:

Production = -2 u'v'*(dU/dy)
and thus the production is:
Production = -2 *((0.0625)(0.3125)+(0.4625)(0.1125)+(0.5624)(-0.2875)+...)/8 * (0.4219)
Production = -2 * -0.094525 * 0.4219
Production = 0.0798

Did I do it correctly?
Thank you very much for the guidance.
 
  • #39
I can't help you here. I'm not familiar with the equation you wrote for the rate of production of turbulent energy. But, it doesn't seem to have the right units.

Chet
 
  • #40
Chestermiller said:
I can't help you here. I'm not familiar with the equation you wrote for the rate of production of turbulent energy. But, it doesn't seem to have the right units.

Chet

I understand, I will continue to read about the topic. Thank you very much for the patience and the guidance all this time Chet! You are a wonderful teacher!
 

Similar threads

Replies
1
Views
1K
  • · Replies 28 ·
Replies
28
Views
3K
  • · Replies 2 ·
Replies
2
Views
3K
Replies
31
Views
4K
  • · Replies 3 ·
Replies
3
Views
5K
  • · Replies 6 ·
Replies
6
Views
2K
  • · Replies 16 ·
Replies
16
Views
4K
  • · Replies 2 ·
Replies
2
Views
2K
Replies
13
Views
3K