What is the purpose of the Prandtl Mixing Length for turbulent flow?

Click For Summary
SUMMARY

The Prandtl mixing length is a fundamental concept in turbulent flow analysis, particularly in the context of turbulent boundary layers. It relates turbulent shear stress to velocity gradients through a model that expresses shear stress in terms of a length scale and velocity fluctuations. Prandtl's hypothesis posits that the mixing length is proportional to the distance from the wall, represented as l = ky, where k is a constant. While the mixing length provides a simplified approach to solving the momentum equation, it lacks a robust physical basis and is best used as a preliminary model for specific flow conditions.

PREREQUISITES
  • Understanding of turbulent boundary layers
  • Familiarity with eddy viscosity concepts
  • Knowledge of momentum equations in fluid dynamics
  • Basic grasp of shear stress and velocity gradients
NEXT STEPS
  • Study the derivation and applications of the turbulent 2D boundary layer momentum equation
  • Explore advanced turbulence models beyond Prandtl's mixing length, such as k-ε and k-ω models
  • Read 'Viscous Fluid Flows' by Frank White for practical examples of turbulence modeling
  • Investigate the limitations and assumptions of Prandtl's mixing length in various flow scenarios
USEFUL FOR

Fluid dynamics engineers, researchers in turbulence modeling, and students studying advanced fluid mechanics will benefit from this discussion on the Prandtl mixing length and its applications in turbulent flow analysis.

Master1022
Messages
590
Reaction score
116
TL;DR
What is the purpose of the Prandtl mixing method and what does it mean?
Hi,

I was recently learning about turbulent boundary layers and came across the 'Prandtl mixing length'. I am struggling to understand what the concept is and what its purpose is. I would appreciate any help or guidance of where I can look to gain a better understanding.

The information I currently know is below.

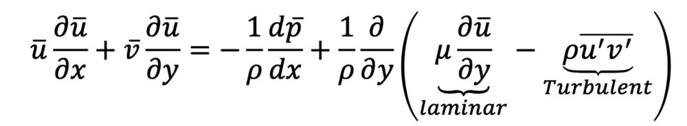
The turbulent 2D boundary layer momentum equation is given by:
Screen Shot 2021-02-02 at 4.58.47 PM.png

Then we can define an eddy viscosity [itex]\epsilon_{M}[/itex] such that:
[tex]\tau_{turbulent} = - \rho \overline{u' v'} = \rho \epsilon_{M} \frac{du}{dy}[/tex]
The cyclic motion of a turbulent packet of fluid results in a turbulent shear stress. Therefore, we seek some model to relate this motion to eddy viscosity. Prandtl postulated that the turbulent fluctuation [itex]u'[/itex] is proportional to the time average of the absolute value of these fluctuations, thus giving:
[tex]u' = l' \frac{du}{dy}[/tex]
This distance [itex]l[/itex] is called Prandtl’s mixing length. Also the idea that [itex]u'[/itex] would be the same order of magnitude as [itex]v′[/itex] (assumption only valid for isotropic turbulence). Giving:
[tex]\tau_{turbulent} = - \rho \overline{u' v'} = \rho \epsilon_{M} \frac{du}{dy} = \rho l^2 \left( \frac{du}{dy} \right)^2[/tex]
The eddy viscosity varies through the boundary layer. Prandtl’s hypothesis was that the mixing length is proportional to the distance from the wall, [itex]l = ky[/itex] where [itex]k[/itex] is a constant and also the shear stress is uniform and approximately equal to the value at the wall in the region close to the wall, [itex]\tau_t = \tau_w[/itex]. This leads to an expression for the shear stress
[tex]\tau_t = \rho k^2 y^2 \left( \frac{du}{dy} \right)^2[/tex]
[itex]y[/itex] is the upper bound of [itex]l[/itex] since mixing length cannot be greater than the distance from the wall by our definition. Taking the square root and integrating gives:

Screen Shot 2021-02-02 at 5.14.08 PM.png
That is the text that I have on the topic. After reading this, I am not completely sure what the purpose of this concept is.

Thanks in advance.
 
Science news on Phys.org
The shear stress in the momentum equation is unknown so you need a model for it to solve the equation. Prandtl's model expresses the shear stress in terms of some length scale and the velocity gradients. The mixing length hypothesis gives the simplest model that will allow you to solve the momentum equation.

There is no universal mixing length in turbulent flows, but for flows like free shear flow you can determine a reasonable value for the mixing length for the type of flow you would like to analyze.

These are important concepts, and not every book explains it with the level of detail it deserves. You can check 'Viscous Fluid Flows' by Frank White to see some examples, or Turbulence Modeling for CFD by David Wilcox.
 
I think the ultimate thing to remember here is that the Prandtl mixing length theory was a simple, early closure model to an extraordinarily complex problem. It works decently under a limited set of conditions but doesn't really have a physical basis, especially since it is based on some approximations that are not well-justified but were the only ones available at the time.

At the end of the day, it's a turbulence model, and as is the case with many things in turbulence modeling, it's really just a knob to turn until your solution matches observations.

Many texts specifically on turbulence should have a good discussion, like Turbulent Flows by Pope or Turbulence by Davidson.
 
  • Like
Likes   Reactions: BvU

Similar threads

Replies
4
Views
2K
  • · Replies 5 ·
Replies
5
Views
2K
  • · Replies 1 ·
Replies
1
Views
2K
  • · Replies 1 ·
Replies
1
Views
2K
Replies
1
Views
2K
Replies
9
Views
3K
Replies
1
Views
4K
  • · Replies 1 ·
Replies
1
Views
2K
  • · Replies 4 ·
Replies
4
Views
6K
  • · Replies 1 ·
Replies
1
Views
2K