Jones Vector of Linear Polarization

Click For Summary
SUMMARY

The discussion centers on the representation of linearly polarized light using Jones vectors. The correct form for linearly polarized light is given as E = [E_x, E_y] = E_0 [cos α, sin α], where α is the angle of the electric vector relative to the horizontal. The confusion arises from mixing space and time domains, particularly when attempting to express the light's polarization in matrix form. It is emphasized that linearly polarized light should not exhibit phase delays between the x and y components, which is crucial for accurate representation.

PREREQUISITES
  • Understanding of Jones vectors and their application in polarization
  • Familiarity with linear polarization concepts
  • Knowledge of wave equations in electromagnetism
  • Basic matrix representation of physical quantities
NEXT STEPS
  • Study the mathematical formulation of Jones vectors for different polarization states
  • Explore the relationship between phase differences and polarization types
  • Learn about the conversion of sinusoidal representations to matrix forms in optics
  • Investigate the implications of elliptically polarized light and its Jones vector representation
USEFUL FOR

Students and professionals in optics, physicists studying light polarization, and engineers working with optical systems will benefit from this discussion.

iScience
Messages
466
Reaction score
5
Hi, I understand that the α in the form below refers to angle of E-vector to the horizontal.

wRsKBwS.png


and that a jones vector should be represented this way:

uZebSxl.png


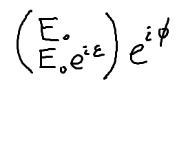
I tried to represent the linearly polarized sin & cos form in the jones vector form

YakoHo5.png
I know I'm doing something wrong because a linearly polarized light should have no phase delays between x & y. I'm just getting my space and time domains mixed up.Thanks
 
Last edited:
Science news on Phys.org
Mainly the reason I am confused is because in my book it gives this form for linearly polarized light:

$$\vec{E}=(\hat{i}E_{0(x)}+\hat{j}E_{0(y)})cos(kz-\omega t)$$

the two components being cosine makes sense because 0 phase difference.

but if i write that in matrix form, shouldn't i also have two cosines, not one cosine and one sine?
 
If I understand your first post, you are on the right track- linearly polarized light with polarization oriented and angle 'α' from the x-axis is indeed written as you say, if you are using linear basis states. The use of 'ε' in your second image makes me wonder if you are now trying to write the Jones vector for elliptically polarized light (with ellipticity ε), which using linear basis states is:

[E_x, E_y] = [cos ε, i sin ε]

which kinda-sorta looks like it can be converted into what you showed.

As for your second post, I am guessing that E_x and E_y are the x- and y- components of E, which again result in E = [E_x, E_y] = E_0 [cos α, sin α] as before. The cos(kz-ωt) refers to the 'wave part', not the polarization, which is simply the direction of E.

Does this help?
 

Similar threads

  • · Replies 2 ·
Replies
2
Views
2K
  • · Replies 4 ·
Replies
4
Views
2K
  • · Replies 2 ·
Replies
2
Views
1K
  • · Replies 3 ·
Replies
3
Views
2K
  • · Replies 7 ·
Replies
7
Views
3K
  • · Replies 1 ·
Replies
1
Views
4K
  • · Replies 5 ·
Replies
5
Views
2K
Replies
1
Views
9K
  • · Replies 4 ·
Replies
4
Views
2K
  • · Replies 4 ·
Replies
4
Views
2K