Length Contraction of Bridge rotated 30 degrees

Click For Summary

Homework Help Overview

The discussion revolves around the concept of length contraction in special relativity, specifically regarding a train moving at a velocity of 1/4 the speed of light (c) as it passes under a bridge that is oriented at a 30-degree angle to the railway. The original poster seeks to calculate the perceived length of the bridge from the train's reference frame, given that the bridge's proper length is 20 meters.

Discussion Character

  • Exploratory, Conceptual clarification, Mathematical reasoning, Problem interpretation, Assumption checking

Approaches and Questions Raised

  • Participants discuss the Lorentz factor and its implications for length contraction, questioning the calculations and assumptions made regarding the bridge's length in different reference frames. There are inquiries about the contraction factors in both the direction of travel and perpendicular to it. Some participants suggest using algebraic methods to simplify the problem-solving process.

Discussion Status

The discussion is ongoing, with various participants providing intermediate computations and corrections. Some guidance has been offered regarding the use of Lorentz transformations and the concept of proper length. There is an exploration of different methods to approach the problem, including the potential use of 4-vector notation.

Contextual Notes

Participants note the absence of a formal course on special relativity, which may affect their understanding and approach to the problem. There is also mention of the need for clarity in mathematical notation and the relevance of specific angles and velocities in the calculations.

marimuda
Messages
15
Reaction score
0

Homework Statement



A Train is driving with a uniformed velocity. v=1/4 c. The train is driving under a bridge, which is rotated \theta=30 degree in relation to the railway. The bridges length is 20 m long in a reference frame of the bridge (stationary bridge).

Calculate the length of the bridge, seen from the train (reference frame, follows the train)

Homework Equations



Not sure

Projection length

[itex]\Delta x’=L_0 cos\theta_0[/itex]

[itex]\Delta y’=L_0 sin\theta_0[/itex]

[itex]]\Delta x’=]\Delta x[/itex] And [itex]]\Delta y’=]\Delta y[/itex]

The Length L of the bridge measured from the train.

[itex]L=\sqrt{(\Deltax)^2+(\Deltay)^2}=\sqrt{L_0 {\frac (-(-v^2 cos^2 \theta_0}{c^2}+1)[/itex] Or written as [itex]L_0 (1- \beta ^2 \cos^2 \theta_0 )^(0.5)[/itex]

The Attempt at a Solution



[itex]L=\sqrt{L_0 {\frac (-(-v^2 cos^2 \theta_0}{c^2}+1)[/itex]

[itex]L=\sqrt{20 m {\frac (-(-0.25c^2 cos^2(30 }{c^2}+1)[/itex]

[itex]L=4.472 m[/itex]

*note: think the result comes out a bit low, (assumption based on the Lorentz factor gamma(v)=1.0328)
*Apologize for the mess in the thread, can't get my commands to work in Latex form
 
Physics news on Phys.org
Your computation of the Lorentz Factor is correct: 1/sqrt(1-(1/16)) = sqrt(16/15) = 1.0328
So, it should be clear that, with that factor, you aren't going to go from 20 meters to 4.472 meters.

Show me these intermediate computations and I point out your error:
1) Delta X and Delta Y of 20 meter bridge from the bridge's reference frame.
2) Delta X and Delta Y of 20 meter bridge from the trains's reference frame.
3) Length of bridge from trains reference frame.
 
What is the length contraction factor in the direction of train travel? What is the length contraction factor in the direction perpendicular to the direction of train travel?
 
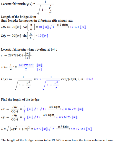
Hey, here's my calculations with all intermediate computations
physicsnet.png
.
Ups, can see that there is some Faroese in the image, hopefully it doesn't make to confusing.
 
marimuda said:
Hey, here's my calculations with all intermediate computations View attachment 93049 .
Ups, can see that there is some Faroese in the image, hopefully it doesn't make to confusing.
There is no length contraction in the y direction. The contraction in the y direction is 1.0

Chet
 
Chestermiller said:
There is no length contraction in the y direction. The contraction in the y direction is 1.0

Chet
So, I just solve Lx=L0x/gamma(v) and Ly=L0y?
 
marimuda said:
So, I just solve Lx=L0x/gamma(v) and Ly=L0y?
Sure.
 
  • Like
Likes   Reactions: marimuda
marimuda said:
Hey, here's my calculations with all intermediate computations View attachment 93049 .
Ups, can see that there is some Faroese in the image, hopefully it doesn't make to confusing.

I get a slightly different answer.

Now that you're studying more advanced topics, you may want to think about using algebra more than arithmetic. For example, why is the value of ##c## relevant? You are given the velocity ##v = c/4## so ##c## cancels out in the expression for ##\gamma##.

All the intermediate computations are unnecessary. It makes your work difficult to check, because it all boils down to putting numbers in a calculator and checking what comes out.

Also, ask yourself this: what if the angle were 40 degrees or the speed ##c/5##? Or,if the length of the bridge were 50m? Would you go right back to the start and plug in some different numbers with a whole set of different intermediate computatons? Or could you use some elementary algebra to solve for any angle ##\theta## and any velocity ##v = \beta c##? And then simply plug the specific numbers in once at the end?
 
  • Like
Likes   Reactions: marimuda
Thanks for the responds.. Is your answer 19.526 m ? , that's what I got when I did the correction chestermiller pointed out. I know that I need to do some algebraic gymnastics to set it up more efficiently, was just more thinking about if I even was in the right ball park.
We don't have any special relativity course in school, and my 'final project' is about special relativity, So it's kind of new.
Isn't that difficult to cook down one equation and then isolate θ . But I can see that c cancels out since the velocity is given in terms of c units
 
  • #10
It's not difficult and in fact you might learn a couple of interesting things from it.

Hint calculating ##L'^2## makes it easier.

Yes, that's what I got.
 
  • #11
Apologize for bringing this post up again, but I'm still working in the problem, even tho we came to the solution and PeroK gave some brilliant advice, It may be that I need some mathematical clarity, or just mentally burned out by this project.
The thing that I'm trying to figure out is, how could I solve the same problem in 4-vector notation?
I don't even have any sensible 'attempted solution'
Appreciate your time
 
  • #12
marimuda said:
Apologize for bringing this post up again, but I'm still working in the problem, even tho we came to the solution and PeroK gave some brilliant advice, It may be that I need some mathematical clarity, or just mentally burned out by this project.
The thing that I'm trying to figure out is, how could I solve the same problem in 4-vector notation?
I don't even have any sensible 'attempted solution'
Appreciate your time

I guess you mean by using the Lorentz Transformation? Basically, any problem you can solve by using the concepts of time dilation and length contraction, you can solve more generally by using Lorentz. What do you know about the Lorentz Transformation? Do you know the term "proper" length?
 
  • Like
Likes   Reactions: Chestermiller
  • #13
PeroK said:
I guess you mean by using the Lorentz Transformation? Basically, any problem you can solve by using the concepts of time dilation and length contraction, you can solve more generally by using Lorentz. What do you know about the Lorentz Transformation? Do you know the term "proper" length?
Yes, I know the term proper length, I've watched Leonard Susskind lectures on special relativity, and checked several books on the topic so the terms don't sound that unfamiliar.
With other words, I know how to do the Lorentz transformation 'brute force', I just don't know how I can write it up efficiently into 4-vector / tensor notation and from that extract length contraction along x-axis and no contraction along y-axis. And get a length out of it.
 
  • #14
marimuda said:
Yes, I know the term proper length, I've watched Leonard Susskind lectures on special relativity, and checked several books on the topic so the terms don't sound that unfamiliar.
With other words, I know how to do the Lorentz transformation 'brute force', I just don't know how I can write it up efficiently into 4-vector / tensor notation and from that extract length contraction along x-axis and no contraction along y-axis. And get a length out of it.

Do you want to try using Lorentz on this problem?
 
  • #15
PeroK said:
Do you want to try using Lorentz on this problem?
I don't get what you mean? ,, Is there any other way?
 
  • #16
marimuda said:
I don't get what you mean? ,, Is there any other way?
Yes, just use length contraction.
 
  • #17
PeroK said:
Yes, just use length contraction.
Now you totally lost me.
the length contraction is a consequence of the Lorentz transformation? where does my chain drop off? :/
 
  • #18
marimuda said:
Now you totally lost me.
the length contraction is a consequence of the Lorentz transformation? where does my chain drop off? :/

You've lost me! Perhaps you should restate your question from the beginning.
 
  • #19
hehe apologize, yes maybe it needs a bit of clarification.
Alright, I've solved the problem above, (this is the same problem), where the length of the bridge observed is 19.526 m when the speed of the train is 1/4 c and the bridge is at a angle of 30 degree with a length of 20 m.
I asked my teacher if I could just use standard length contraction straight forward to solve the problem.
His answer was: " Yes, the question can be solved straight forwardly with the use of Lorentz transformation, but the problem (train problem , which I'm trying to solve) is a extension of the 4-vector objective in the project.
So solve the problem as extension of the 4-vector section
 
  • #20
marimuda said:
hehe apologize, yes maybe it needs a bit of clarification.
Alright, I've solved the problem above, (this is the same problem), where the length of the bridge observed is 19.526 m when the speed of the train is 1/4 c and the bridge is at a angle of 30 degree with a length of 20 m.
I asked my teacher if I could just use standard length contraction straight forward to solve the problem.
His answer was: " Yes, the question can be solved straight forwardly with the use of Lorentz transformation, but the problem (train problem , which I'm trying to solve) is a extension of the 4-vector objective in the project.
So solve the problem as extension of the 4-vector section

That means nothing to me, I'm sorry to say.
 
  • #21
PeroK said:
That means nothing to me, I'm sorry to say.
So, it's not only myself that gets lost by that request?
I was thinking along the lines of , if there is a Matrix (Lorentz transformation for my particular case ) which is multiplied on the four-vector x^μ, that when seen from the reference frame of the bridge ( stationary ) the length of the bridge is 20, and when seen from the moving observer, gets transformed the proper way, to give the result 19.526m . But I don't know how to do a matrix multiplication that does it for me.
 
  • #22
I think that x^'μ = Λ x^μ , if μ goes from 1 to 3 (spatial components) , and Λ is the Lorentz transformation along the x-axis,is on the right track but have no clue how to get the components into there, (cos⁡(θ) , sin⁡(θ) ) and L_0 so that I can solve for L
 
  • #23
You are asking what the Lorentz Transformation looks like if the direction of the relative velocity vector of the S' frame does not line up with the x direction of the S frame, correct? See Exercise 2.7 Boost in an Arbitrary Direction in Section 2.9 of Meisner, Thorne, and Wheeler, Gravitation.

Chet
 
  • Like
Likes   Reactions: marimuda
  • #24
If you put L0 inside the square root, it is bound to be very small even at 0 relative velocity. That has to be wrong.
 
  • #25
Chestermiller said:
You are asking what the Lorentz Transformation looks like if the direction of the relative velocity vector of the S' frame does not line up with the x direction of the S frame, correct? See Exercise 2.7 Boost in an Arbitrary Direction in Section 2.9 of Meisner, Thorne, and Wheeler, Gravitation.

Chet
yes exactly, and how to write it.
Ouch, that was even uglier than I could imagine. My teacher must have swallowed a rock or something, we've just gone through 2 D vector algebra in class, and now he expects this from me from my final school project. hehe
 
  • #26
FactChecker said:
If you put L0 inside the square root, it is bound to be very small even at 0 relative velocity. That has to be wrong.
What do you mean?
 
  • #27
marimuda said:
What do you mean?
In your first post, "\sqrt{20 m * factor" starts by taking the square root of L0. So it is immediately reduced to 4.472 before the speed adjustment is even applied. I don't think that can be right. Try it with 20 outside of the square root. At the slow speed of 1/4c applied to just one component of the length, I would expect only a small reduction of the 20 m.
 
  • #28
marimuda said:
yes exactly, and how to write it.
Ouch, that was even uglier than I could imagine. My teacher must have swallowed a rock or something, we've just gone through 2 D vector algebra in class, and now he expects this from me from my final school project. hehe

It seems to me that your teacher is doing what I tried to do in post #8: help you to do a mathematical solution to the problem and not just plug numbers into a calculator. In particular, he/she wants you to use the matrix form of the Lorentz Transformation. In this case, this is simply a 2x2 matrix acting on 2D vectors.

If you really have a problem with the maths - algebra as "gymnastics" and matrices as "ugly" - then you need to sort this out. You might start by locking away your pocket calculator for a week or two!
 
  • #29
FactChecker said:
In your first post, "\sqrt{20 m * factor" starts by taking the square root of L0. So it is immediately reduced to 4.472 before the speed adjustment is even applied. I don't think that can be right. Try it with 20 outside of the square root. At the slow speed of 1/4c applied to just one component of the length, I would expect only a small reduction of the 20 m.
Yes, the solution to the first post is 19.526 m. :)
 
  • #30
marimuda said:
Yes, the solution to the first post is 19.526 m. :)
Sorry. I missed that in the later post. The first post said L=4.472m and I didn't see the later correction.
 

Similar threads

  • · Replies 36 ·
2
Replies
36
Views
3K
Replies
3
Views
2K
  • · Replies 38 ·
2
Replies
38
Views
5K
  • · Replies 22 ·
Replies
22
Views
2K
  • · Replies 12 ·
Replies
12
Views
3K
  • · Replies 9 ·
Replies
9
Views
1K
  • · Replies 3 ·
Replies
3
Views
1K
Replies
2
Views
1K
  • · Replies 5 ·
Replies
5
Views
3K
Replies
11
Views
3K