Linear operator in 2x2 complex vector space

Click For Summary

Homework Help Overview

The discussion revolves around the properties of a linear operator defined on the complex vector space of 2x2 matrices. Participants explore the rank of the operator and its implications, as well as the transformation of matrices into vector representations.

Discussion Character

  • Exploratory, Conceptual clarification, Mathematical reasoning

Approaches and Questions Raised

  • Participants attempt to compute the action of the linear operator on specific matrices and question the representation of matrices as vectors. There are discussions about the implications of matrix transposition and the structure of the transformation matrix.

Discussion Status

Several participants are engaged in clarifying the mathematical reasoning behind the transformation and its representation. There is an ongoing exploration of how to compute specific transformations and the nature of the operator's action on the basis matrices.

Contextual Notes

Participants note the importance of conventions in representing matrices and vectors, as well as the potential confusion arising from different interpretations of matrix operations. There is also mention of the need for a clear understanding of the correspondence between matrix and vector representations.

jolly_math
Messages
51
Reaction score
5
Homework Statement
see question below
Relevant Equations
basis
Let C2x2 be the complex vector space of 2x2 matrices with complex entries. Let
1664844975842.png
and let T be the linear operator onC2x2 defined by T(A) = BA. What is the rank of T? Can you describe T2?
____________________________________________________________

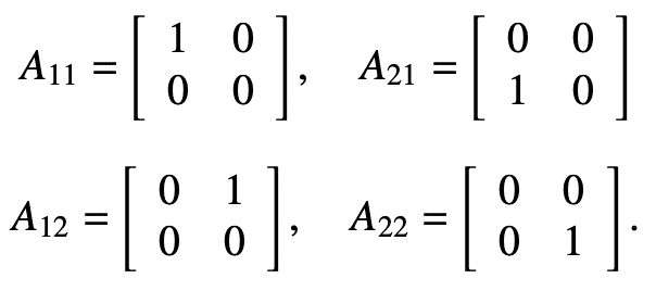
An ordered basis for C2x2 is:
1664845269015.png


I don't understand the following statement:
If we identify C2x2 with C4, then since
1664845520809.png
, the matrix of the transformation is
1664845390200.png
.

Could anyone explain this? Thank you.
 
Physics news on Phys.org
Do you know how to compute ##T(A_{11})##?
 
jolly_math said:
Could anyone explain this?
Which part specifically?

I think the 4x4 matrix should actually be the transpose of what you posted, but I might be missing something.
 
vela said:
I think the 4x4 matrix should actually be the transpose of what you posted, but I might be missing something.
This depends on if we consider representing the ##\mathbb C^4## space as row or column vectors and is therefore up to convention. Without knowing the convention used we cannot say if it should be transposed or not.

What should be clear is that the operator ##B## acts separately on each column of ##A## and therefore can be decomposed into its separate action on ##\mathbb C^2\oplus \mathbb C^2## as ##T(A) = T(a_1\oplus a_2)= (B a_1)\oplus(Ba_2)##. The question therefore can be handled by considering the rank of ##B## when acting on ##\mathbb C^2##.
 
Office_Shredder said:
Do you know how to compute ##T(A_{11})##?
No, I don't. I mainly don't understand how
1664985151442.png
was created, and why this results in
1664985186104.png
- I think there is more specific mathematical reasoning used that I can't see here. Thanks.
 
jolly_math said:
No, I don't. I mainly don't understand how View attachment 315063 was created, and why this results in View attachment 315064 - I think there is more specific mathematical reasoning used that I can't see here. Thanks.
If ##T(A) = BA##, what is ##T(A_{11})##? (Explicitly for the given ##A_{11}## and ##B##)
 
  • Like
Likes   Reactions: jolly_math
Orodruin said:
If ##T(A) = BA##, what is ##T(A_{11})##? (Explicitly for the given ##A_{11}## and ##B##)
$$
\begin{bmatrix}
1 & 0 \\
-4 & 0 \\
\end{bmatrix}
$$. I think I understand how
1664985722146.png
was created now. How does this lead to
1664985770392.png
? Thanks.
 

Attachments

  • 1664985617592.png
    1664985617592.png
    4.7 KB · Views: 174
What matrix do you need to multiply the vector
$$
\begin{pmatrix} A_{11} \\ A_{21} \\ A_{12} \\ A_{22}\end{pmatrix}
$$
with to get the vector
$$
\begin{pmatrix}A_{11} - 4 A_{21} \\ -A_{11} + 4A_{21} \\ A_{12} - 4A_{22} \\ - A_{12} + 4A_{22}\end{pmatrix}
$$
?
 
Orodruin said:
What matrix do you need to multiply the vector
$$
\begin{pmatrix} A_{11} \\ A_{21} \\ A_{12} \\ A_{22}\end{pmatrix}
$$
with to get the vector
$$
\begin{pmatrix}A_{11} - 4 A_{21} \\ -A_{11} + 4A_{21} \\ A_{12} - 4A_{22} \\ - A_{12} + 4A_{22}\end{pmatrix}
$$
?
I think it's a 1x4 matrix, but I can't think of a specific one.
 

Attachments

  • 1664986369446.png
    1664986369446.png
    4.7 KB · Views: 159
  • #10
jolly_math said:
I think it's a 1x4 matrix, but I can't think of a specific one.
No. You want to map a column vector with 4 entries to another column vector with 4 entries, which type of matrix do you need to use?
 
  • #11
Orodruin said:
No. You want to map a column vector with 4 entries to another column vector with 4 entries, which type of matrix do you need to use?
A 4x4 matrix?
 
  • #12
jolly_math said:
A 4x4 matrix?
Why? Can you motivate this answer?
 
  • #13
Orodruin said:
Why? Can you motivate this answer?
I'm actually not sure why. Could you please explain how
1664992793856.png
was created? I can't seem to understand it even with hints. Thanks.
 
  • #14
jolly_math said:
I'm actually not sure why. Could you please explain how View attachment 315074 was created? I can't seem to understand it even with hints. Thanks.
So let us go back to the basics. For a 2x2 matrix
$$
A = \begin{pmatrix} a & b \\ c & d\end{pmatrix}
$$
and a column vector
$$
X = \begin{pmatrix} x \\ y \end{pmatrix},
$$
what is ##AX##?
 
  • #15
Orodruin said:
So let us go back to the basics. For a 2x2 matrix
$$
A = \begin{pmatrix} a & b \\ c & d\end{pmatrix}
$$
and a column vector
$$
X = \begin{pmatrix} x \\ y \end{pmatrix},
$$
what is ##AX##?
AX = \begin{pmatrix} ax+by \\ cx+dy\end{pmatrix}
 
  • #16
Right, so what is
$$
\begin{pmatrix}T_{11} & T_{12} & T_{13} & T_{14} \\T_{21} & T_{22} & T_{23} & T_{24} \\T_{31} & T_{32} & T_{33} & T_{34} \\T_{41} & T_{42} & T_{43} & T_{44} \end{pmatrix}
\begin{pmatrix} A_{11} \\ A_{21} \\ A_{12} \\ A_{22}\end{pmatrix}
$$
?
 
  • #17
jolly_math said:
I'm actually not sure why. Could you please explain how View attachment 315074 was created? I can't seem to understand it even with hints. Thanks.
There are (at least) two ways to look at ##2 \times 2## matrices. You can leave the entries in matrix form. Or, you can represent each matrix as a 4D vector. The text makes the following correspondence:
$$
A = \begin{bmatrix} a & b \\ c & d\end{bmatrix} \leftrightarrow (a, b, c, d)
$$This also gives us a correspondence between two reprsentations of the basis matrices/vectors:
$$
A_{11} = \begin{bmatrix} 1 & 0 \\ 0 & 0\end{bmatrix} \leftrightarrow (1, 0, 0, 0) = e_1
$$etc.
Now, take a linear transformation ##T## represented by the matrix
$$
M = \begin{bmatrix} 1 & -1 \\ -4 & 4\end{bmatrix}
$$We can find the action of ##T## on a matrix by matrix multiplication:
$$T(A) = MA$$And, we can find the action on each basis matrix:
$$T(A_{11}) = MA_{11} = A_{11} - 4A_{12}$$etc.
We can also write down the action of ##T## as a linear transformation of our basis vectors ##e_1## etc.
$$Te_1 = e_1 - 4e_2$$etc.
Finally, we can express ##T## as a linear transformation on the vector representation by a ##4 \times 4## matrix. And that is the matrix that so mysteriously appeared in the text.
 
  • Like
Likes   Reactions: jolly_math
  • #18
Orodruin said:
Right, so what is
$$
\begin{pmatrix}T_{11} & T_{12} & T_{13} & T_{14} \\T_{21} & T_{22} & T_{23} & T_{24} \\T_{31} & T_{32} & T_{33} & T_{34} \\T_{41} & T_{42} & T_{43} & T_{44} \end{pmatrix}
\begin{pmatrix} A_{11} \\ A_{21} \\ A_{12} \\ A_{22}\end{pmatrix}
$$
?
I was working on my reply when you posted this. I did feel the OP was struggling fundamentally with the concept of representing a ##2 \times 2## matrix by a 4D vector.
 
  • Like
Likes   Reactions: jolly_math
  • #19
Thank you so much, it makes sense now!
 
  • Like
Likes   Reactions: berkeman

Similar threads

  • · Replies 1 ·
Replies
1
Views
3K
Replies
15
Views
3K
  • · Replies 10 ·
Replies
10
Views
2K
  • · Replies 15 ·
Replies
15
Views
3K
  • · Replies 2 ·
Replies
2
Views
2K
Replies
5
Views
2K
  • · Replies 7 ·
Replies
7
Views
3K
  • · Replies 10 ·
Replies
10
Views
3K
Replies
9
Views
2K
  • · Replies 12 ·
Replies
12
Views
2K