Linear Transformations & Matrices: Armstrong, Tapp Chs. 9 & 1 - Explained

Click For Summary
SUMMARY

The discussion centers on the definitions of linear transformations in the context of matrix operations as presented in M. A. Armstrong's "Groups and Symmetry" and Kristopher Tapp's "Matrix Groups for Undergraduates." Armstrong defines the linear transformation $$f_A(x) = x A^t$$ to preserve multiplication order, ensuring that $$f_{AB} = f_A f_B$$. In contrast, Tapp defines the transformation as $$R_A = X \cdot A$$ without using the transpose, which would reverse the multiplication order. The necessity of using the transpose in Armstrong's definition is crucial for maintaining the structural integrity of matrix multiplication.

PREREQUISITES
  • Understanding of linear transformations and their properties
  • Familiarity with matrix operations and multiplication
  • Knowledge of transpose operations in matrix algebra
  • Basic concepts from group theory as related to matrices
NEXT STEPS
  • Study the properties of linear transformations in depth
  • Explore the implications of matrix transposition on linear mappings
  • Learn about group theory applications in linear algebra
  • Investigate other definitions of linear transformations in various mathematical texts
USEFUL FOR

Students and educators in mathematics, particularly those focusing on linear algebra, group theory, and matrix operations. This discussion is beneficial for anyone seeking to understand the significance of matrix transposition in linear transformations.

Math Amateur
Gold Member
MHB
Messages
3,920
Reaction score
48
At the start of Chapter 9, M. A. Armstrong in his book, "Groups and Symmetry" (see text below) writes the following:

" ... ... Each matrix $$A$$ in this group determines an invertible linear transformation $$f_A: \mathbb{R} \to \mathbb{R}$$ defined by $$f_A(x) = x A^t$$ ... ... "I know that one may define entities how one wishes ... but why does Armstrong define $$f$$ in terms of the transpose of $$A$$ rather than just simply $$A$$ ... there must be some reason or advantage to this ... but what is it? Can someone help to explain ...

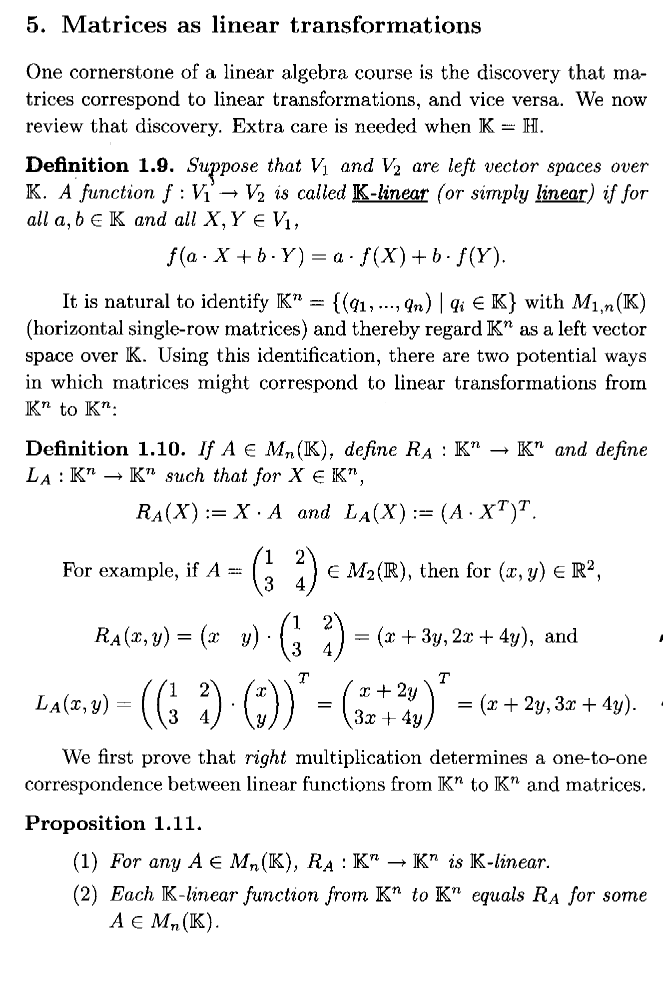
I note in passing that Kristopher Tapp in his book, "Matrix Groups for Undergraduates" (Chapter 1, Section 5) ... see text below ... defines the action of a linear transformation ( multiplication by a matrix $$A$$) as $$R_A = X \cdot A$$ ... thus not using the transpose of $$A$$ ...Hope that someone can help ...

Peter=======================================================================================

The above post refers to the start of Ch. 9 of M. A. Armstrong's book, "Groups and Symmetry" ... so I am providing the relevant text ... as follows:View attachment 9568
The above post also refers to Chapter 1, Section 5 of Kristopher Tapp's book, "Matrix Groups for Undergraduates" ... so I am providing the relevant text ... as follows:View attachment 9569Note that Tapp uses $$\mathbb{K}$$ to refer to one of the real numbers, the complex numbers or the quaternions ...Hope that helps,

Peter
 

Attachments

  • Armstrong - Start of Chapter 9 ... .png
    Armstrong - Start of Chapter 9 ... .png
    39.3 KB · Views: 137
  • Tapp - Chater 5, Section 1... .png
    Tapp - Chater 5, Section 1... .png
    35 KB · Views: 162
Physics news on Phys.org
Peter said:
At the start of Chapter 9, M. A. Armstrong in his book, "Groups and Symmetry" (see text below) writes the following:

" ... ... Each matrix $$A$$ in this group determines an invertible linear transformation $$f_A: \mathbb{R} \to \mathbb{R}$$ defined by $$f_A(x) = x A^t$$ ... ... "I know that one may define entities how one wishes ... but why does Armstrong define $$f$$ in terms of the transpose of $$A$$ rather than just simply $$A$$ ... there must be some reason or advantage to this ... but what is it?
The answer is given in the text from Armstrong's book that you posted. If $f_A(x)$ is defined to be $xA^T$ then the map $A\mapsto f_A$ preserves multiplication: $f_{AB} = f_Af_B$. If the transpose does not occur in the definition then the map would reverse the order and you would get $f_{AB} = f_Bf_A$.
 
Opalg said:
The answer is given in the text from Armstrong's book that you posted. If $f_A(x)$ is defined to be $xA^T$ then the map $A\mapsto f_A$ preserves multiplication: $f_{AB} = f_Af_B$. If the transpose does not occur in the definition then the map would reverse the order and you would get $f_{AB} = f_Bf_A$.
Thanks for the help, Opalg ...

Peter
 

Similar threads

Replies
3
Views
2K
  • · Replies 7 ·
Replies
7
Views
2K
Replies
10
Views
3K
  • · Replies 3 ·
Replies
3
Views
2K
  • · Replies 2 ·
Replies
2
Views
2K
  • · Replies 5 ·
Replies
5
Views
2K
  • · Replies 2 ·
Replies
2
Views
1K
  • · Replies 12 ·
Replies
12
Views
4K
  • · Replies 2 ·
Replies
2
Views
2K
  • · Replies 1 ·
Replies
1
Views
4K