Mastering Determinants: A Scientist's Approach to Solving Equations

  • Thread starter Thread starter Turion
  • Start date Start date
  • Tags Tags
    Determinant
Click For Summary

Homework Help Overview

The discussion revolves around the evaluation of determinants in the context of solving equations. Participants are addressing potential errors in arithmetic related to the calculation of minors in determinant evaluation.

Discussion Character

  • Exploratory, Assumption checking

Approaches and Questions Raised

  • Participants are attempting to identify mistakes in the calculation process, specifically regarding the computation of a 2x2 minor. There is also a question about the clarity of the original problem statement.

Discussion Status

The discussion is ongoing, with some participants providing feedback on arithmetic errors and questioning the completeness of the initial problem statement. There is no explicit consensus yet, but there is engagement in clarifying the issues at hand.

Contextual Notes

Some participants express frustration over making arithmetic mistakes, indicating a focus on careful calculation. There is also a mention of the need for clearer problem statements in the discussion.

Turion
Messages
145
Reaction score
2

Homework Statement



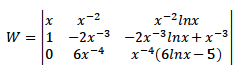
PZn1tG3.png


Homework Equations





The Attempt at a Solution



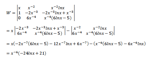
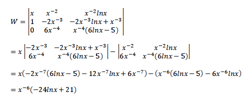
XdrDSIB.png
 
Physics news on Phys.org
Turion said:

Homework Statement



PZn1tG3.png


Homework Equations





The Attempt at a Solution



XdrDSIB.png

What is your question?
 
If you are trying to evaluate the determinant, there is an arithmetic mistake in calculating the first 2x2 minor, specifically in calculating a12*a21.
 
Thanks. I make so many dumb mistakes. :(
 
Turion said:
Thanks. I make so many dumb mistakes. :(

You mean like not stating the question?
 

Similar threads

  • · Replies 4 ·
Replies
4
Views
2K
Replies
7
Views
1K
  • · Replies 2 ·
Replies
2
Views
2K
Replies
4
Views
2K
  • · Replies 1 ·
Replies
1
Views
1K
  • · Replies 8 ·
Replies
8
Views
2K
Replies
7
Views
2K
  • · Replies 2 ·
Replies
2
Views
1K
  • · Replies 1 ·
Replies
1
Views
2K
  • · Replies 26 ·
Replies
26
Views
3K