Maximizing Integration Expansion | Homework Solution

Click For Summary

Homework Help Overview

The discussion revolves around a problem related to integration, specifically focusing on maximizing integration expansion. Participants are attempting to navigate through a challenging step in the integration process, seeking guidance on how to proceed with the problem.

Discussion Character

  • Exploratory, Assumption checking, Mathematical reasoning

Approaches and Questions Raised

  • Participants express difficulty in progressing from a certain step in their integration attempts. They question the effectiveness of their chosen methods, including various forms of integration by parts and substitutions. Some participants suggest reconsidering their approach to integration by parts.

Discussion Status

The discussion is ongoing, with participants sharing their struggles and hints being offered. There is no explicit consensus on the correct method yet, but suggestions for alternative approaches have been made, indicating a productive exploration of the problem.

Contextual Notes

Participants are operating under the constraints of forum rules that limit direct solutions, emphasizing hints and guidance instead. This has led to a focus on exploring different integration techniques and questioning previous assumptions about their calculations.

yecko
Gold Member
Messages
275
Reaction score
15

Homework Statement


d6adf6b4297ef9c8c20c3e58ec66535d.png

https://holland.pk/uptow/i4/d6adf6b4297ef9c8c20c3e58ec66535d.png

Homework Equations


integration

The Attempt at a Solution


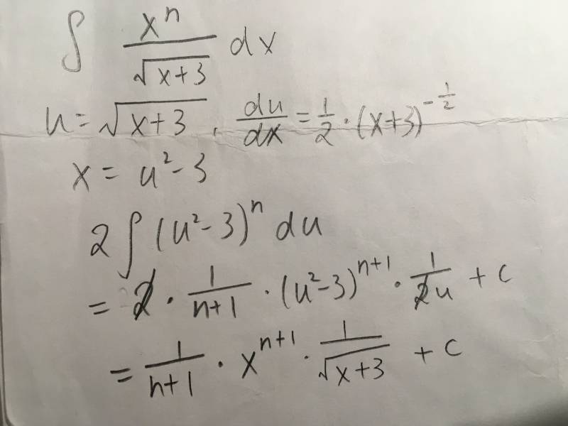
36ea9fcf0a17f1ea8137f0140c881289.jpg
[/B]
https://holland.pk/uptow/i4/36ea9fcf0a17f1ea8137f0140c881289.jpg

I have got stuck at this step...
And have no idea on how to go on to the form suggested in the question.
Can anyone tell me how to do this question?
Thank you very much!
 
Physics news on Phys.org
yecko said:

Homework Statement


View attachment 203672
https://holland.pk/uptow/i4/d6adf6b4297ef9c8c20c3e58ec66535d.png

Homework Equations


integration

The Attempt at a Solution


View attachment 203673 [/B]
https://holland.pk/uptow/i4/36ea9fcf0a17f1ea8137f0140c881289.jpg

I have got stuck at this step...
And have no idea on how to go on to the form suggested in the question.
Can anyone tell me how to do this question?
Thank you very much!

PF rules forbid us from telling you how to do the question; we can offer hints only. My hint is: try a different integration by parts, because the one you used does not work.
 
Indeed I have tried x-3, sqrt(x-3), x^n
All of the mentioned just do not help me in simplifying the equation, things just get more complicated...
That's the reason I believe I have done the wrong thing in the calculation...
 
You can not integrate (u2-3)n as you did. Write it as (u2-3)n-1*u * u and try integration by parts.
 

Similar threads

  • · Replies 2 ·
Replies
2
Views
1K
  • · Replies 23 ·
Replies
23
Views
3K
  • · Replies 4 ·
Replies
4
Views
1K
  • · Replies 4 ·
Replies
4
Views
2K
  • · Replies 10 ·
Replies
10
Views
4K
  • · Replies 5 ·
Replies
5
Views
2K
Replies
2
Views
2K
  • · Replies 4 ·
Replies
4
Views
2K
  • · Replies 18 ·
Replies
18
Views
4K
  • · Replies 14 ·
Replies
14
Views
2K