Minimum value of an inequality

Click For Summary

Homework Help Overview

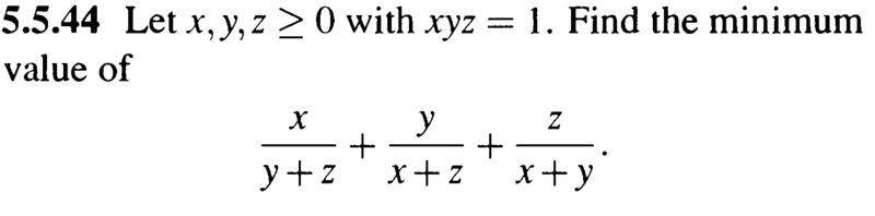
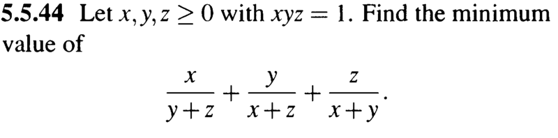
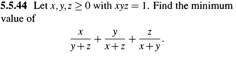
The discussion revolves around finding the minimum value of an inequality involving three variables, specifically focusing on the expression \(\frac{x}{y+z} + \frac{y}{x+z} + \frac{z}{x+y}\). Participants explore various mathematical inequalities and approaches to tackle the problem.

Discussion Character

  • Exploratory, Conceptual clarification, Mathematical reasoning, Assumption checking

Approaches and Questions Raised

  • Some participants apply the AM-GM inequality and consider maximizing certain expressions. Others suggest using Nesbitt's inequality as a potential solution. There are inquiries about alternative approaches using standard inequalities like Cauchy-Schwarz and Chebyshev. Questions arise regarding the validity of assumptions and the need to eliminate variables under specific conditions.

Discussion Status

The conversation is ongoing, with participants sharing different perspectives on the problem. Some express uncertainty about the methods being employed, while others emphasize the importance of logical reasoning in problem-solving. There is no explicit consensus on the best approach, but various lines of reasoning are being explored.

Contextual Notes

Participants note the constraint that the variables \(x\), \(y\), and \(z\) must be positive and that their product equals one. This condition influences the methods discussed and the assumptions made throughout the conversation.

timetraveller123
Messages
620
Reaction score
45

Homework Statement


upload_2017-6-9_7-8-17.png

Homework Equations

The Attempt at a Solution


i just straight up applied am gm

##\frac {x}{y+z} + \frac{y}{x+z} + \frac{z}{x+y} \geq 3(\sqrt[3]{\frac{1}{(y+z)(x+z)(x+y)}})
##
so the denominator is which i had to maximise
##
x^2(y+z) + y^2(x+z) +z^2(x + y) + 2\\
\frac{y+z}{y^2z^2} + \frac{x+z}{x^2 z^2 } + \frac{x+ y}{x^2 y^2}
##
i am hoping to maximise this expression i was thinking maybe cauchy inequality might help

am i on the right track please help me thanks !
 
Physics news on Phys.org
By Nesbitt's inequality the answer is ##3/2##.
 
  • Like
Likes   Reactions: timetraveller123
um is there any other approach using standard inequalities ie just cauchy am gm chebyshev and so on
and i sort of guessed the answer is 3/2 by plugging x = y= z = 1
 
vishnu 73 said:
um is there any other approach using standard inequalities ie just cauchy am gm chebyshev and so on
and i sort of guessed the answer is 3/2 by plugging x = y= z = 1

Nesbitt's inequality is proven by using AM - HM.
 
vishnu 73 said:

Homework Statement


View attachment 205090

Homework Equations

The Attempt at a Solution


i just straight up applied am gm

##\frac {x}{y+z} + \frac{y}{x+z} + \frac{z}{x+y} \geq 3(\sqrt[3]{\frac{1}{(y+z)(x+z)(x+y)}})
##
so the denominator is which i had to maximise

You have to maximize the whole expression on the right side, so you need to minimize the denominator (y+z)(x+z)(x+y) with the condition that x, y, z are all positive and xyz=1.

vishnu 73 said:
##
x^2(y+z) + y^2(x+z) +z^2(x + y) + 2\\
\frac{y+z}{y^2z^2} + \frac{x+z}{x^2 z^2 } + \frac{x+ y}{x^2 y^2}
##
i am hoping to maximise this expression i was thinking maybe cauchy inequality might help

am i on the right track please help me thanks !

I do not understand what you did.

You need to find the minimum of A=(y+z)(x+z)(x+y), if xyz=1. Eliminate one variable, ##z=\frac{1}{xy}##, for example. Expand the product, and collect the terms, so you get a sum of terms of form (a+1/a).
 
  • Like
Likes   Reactions: timetraveller123
Buffu said:
By Nesbitt's inequality the answer is ##3/2##.
We do not give the solution of a homework problem.
One can find the solution of almost every problem on the Net, but why not try yourself ? The aim of Maths problem solving is to teach people logical thinking instead of browsing the Net.
 
ehild said:
We do not give the solution of a homework problem.
One can find the solution of almost every problem on the Net, but why not try yourself ? The aim of Maths problem solving is to teach people logical thinking instead of browsing the Net.

There is nothing to do here.

The statement of Nesbitt's inequality is ##\text{Given expression in the original post} \ge 3/2##.
 
Buffu said:
There is nothing to do here.

The statement of Nesbitt's inequality is ##\text{Given expression in the original post} \ge 3/2##.
Yes, but the problem in the OP was to find it mathematically, not to find it on the Net.
Imagine, you get that problem at an exam, and you can not use the Net, and you never heard about Nesbitt's inequality. What would you do?
 
  • Like
Likes   Reactions: SammyS
Buffu said:
There is nothing to do here.

The statement of Nesbitt's inequality is ##\text{Given expression in the original post} \ge 3/2##.

ehild said:
Yes, but the problem in the OP was to find it mathematically, not to find it on the Net.
Imagine, you get that problem at an exam, and you can not use the Net, and you never heard about Nesbitt's inequality. What would you do?
@ehild makes some very good points.
 
  • #10
ehild said:
One can find the solution of almost every problem on the Net, but why not try yourself ? The aim of Maths problem solving is to teach people logical thinking instead of browsing the Net.

I agree.

ehild said:
Yes, but the problem in the OP was to find it mathematically, not to find it on the Net.

Agreed.

All you said is completely correct except that I still believe that my post 2 is justified as it is.

Imagine, you get that problem at an exam, and you can not use the Net, and you never heard about Nesbitt's inequality. What would you do?

You can generalise this question as,

Imagine, you get (insert : A problem which can be solved by an application of a fairly famous result that is allowed) at an exam, and you can not use the Net, and you never heard about (insert : That famous result). What would you do?

Lets say that famous result is Chain rule and the problem is ##f(x) = \dfrac{\csc x}{\sqrt{x^2 - y(x) x^2}}##. Now you can do this problem with a application of Chain rule or with Quotient rule. Which is easier ? majority will say chain rule.
For the question "what I would do ?" I would either pass the remaining time or do the question with Quotient rule.

In my eg the problem was easily doable without the known result but what if the problem is hard without the known result ? You are basically screwed then, aren't you ?

In my opinion this question without Nesbitt's inequality is moderately difficult to do. Also Nesbitt's inequality is a very basic inequality and is known by everybody who do this type of questions. It is always there in books dedicated to inequalities and one Google search will bring 7-9 proofs of this inequality including the one OP was trying to do.

That brings me to my next point, you can give one proof of this inequality and maybe somebody else will give some other proof, but if OP does a google search he will get more than one or two methods to this problem.

The last thing in my defence is few days ago I asked a question about the inverse of Hilbert's matrix (I did not know it was Hilbert's matrix) on which the people told me search on net which I did and got my answer. As wrong I am in posting my message in this thread as are those people who told me to search on net in that thread (They are not wrong in my view).

That being said, I am not picking up fight with you. You helped me with a lot of problems in Physics which I am grateful for.

Mark44 said:
@ehild makes some very good points.

You can remove my post if it so problematic.
 
  • #11
@Buffu
You can say to the OP "search the Net " for the problem, but telling him the name of the inequality and the result, is full solution, and giving full solution is not allowed here.
In Maths, problem solving is not new discovery. You can have the task to prove that the angles of any triangle add up to 180°. If you answer that "nothing to do, it is in the book" your teacher will not be happy.
 
  • #12
Buffu said:
Lets say that famous result is Chain rule and the problem is ##f(x) = \dfrac{\csc x}{\sqrt{x^2 - y(x) x^2}}##. Now you can do this problem with a application of Chain rule or with Quotient rule. Which is easier ? majority will say chain rule.
The answer is not "either/or" -- you would first have to use the quotient rule, and then the chain rule. Neither one alone would suffice, so I don't see what your point is here.

Buffu said:
In my opinion this question without Nesbitt's inequality is moderately difficult to do. Also Nesbitt's inequality is a very basic inequality and is known by everybody who do this type of questions. It is always there in books dedicated to inequalities and one Google search will bring 7-9 proofs of this inequality including the one OP was trying to do.
@ehild has pointed out another approach. Your earlier post was deleted as being a full solution. If you had limited your help to guiding toward a solution rather than providing a full solution with answer, your post wouldn't have been deleted.

Buffu said:
The last thing in my defence is few days ago I asked a question about the inverse of Hilbert's matrix (I did not know it was Hilbert's matrix) on which the people told me search on net which I did and got my answer. As wrong I am in posting my message in this thread as are those people who told me to search on net in that thread (They are not wrong in my view).
Nor are they wrong in my view. I don't see any problem in explaining something you didn't realize, that the matrix was a Hilbert matrix. With a little nudge, they pointed you in the right direction, allowing you to complete the problem. That's different from what you did in this thread.
 
  • #13
Buffu said:
I agree.
In my opinion this question without Nesbitt's inequality is moderately difficult to do. Also Nesbitt's inequality is a very basic inequality and is known by everybody who do this type of questions. It is always there in books dedicated to inequalities and one Google search will bring 7-9 proofs of this inequality including the one OP was trying to do.

That brings me to my next point, you can give one proof of this inequality and maybe somebody else will give some other proof, but if OP does a google search he will get more than one or two methods to this problem.

The last thing in my defence is few days ago I asked a question about the inverse of Hilbert's matrix (I did not know it was Hilbert's matrix) on which the people told me search on net which I did and got my answer. As wrong I am in posting my message in this thread as are those people who told me to search on net in that thread (They are not wrong in my view).

That being said, I am not picking up fight with you. You helped me with a lot of problems in Physics which I am grateful for.
You can remove my post if it so problematic.

Well, I was one of those who suggested searching the web.

Years earlier I would have said something like "Have you looked in your textbook for similar examples? If it is not in your book, you can go to the library and look in other books." Nowadays, people do not do libraries anymore (by and large, anyway), so suggesting a web search is the modern equivalent.

There is nothing at all wrong with suggesting that you look in a textbook or to go to the library when faced with a hard problem (at least, after giving it a fair shot on your own). What might well be wrong would be to tell you to look at equation xx on page yy of book zz. On the other hand, suggesting book zz and perhaps even a chapter in it seems OK to me, but maybe some would disagree with that as well. I guess it is fair to say that the issue is not absolutely clear-cut.
 
  • #14
ehild said:
You have to maximize the whole expression on the right side, so you need to minimize the denominator (y+z)(x+z)(x+y) with the condition that x, y, z are all positive and xyz=1.

I do not understand what you did.

You need to find the minimum of A=(y+z)(x+z)(x+y), if xyz=1. Eliminate one variable, z=1xyz=1xyz=\frac{1}{xy}, for example. Expand the product, and collect the terms, so you get a sum of terms of form (a+1/a).
thanks i was all mixed up about maximising or minimising did what you said and got the minimum value of denominator to be 8 and the answer followed thanks to all
 
  • #15
vishnu 73 said:
thanks i was all mixed up about maximising or minimising did what you said and got the minimum value of denominator to be 8 and the answer followed thanks to all
You see, you did not need any famous or less famous theorems:smile: after you started with a very clever step.
 
  • Like
Likes   Reactions: timetraveller123
  • #16
thanks
 

Similar threads

  • · Replies 5 ·
Replies
5
Views
2K
  • · Replies 10 ·
Replies
10
Views
2K
  • · Replies 8 ·
Replies
8
Views
2K
  • · Replies 4 ·
Replies
4
Views
2K
  • · Replies 6 ·
Replies
6
Views
3K
  • · Replies 5 ·
Replies
5
Views
2K
Replies
17
Views
3K
Replies
8
Views
5K
  • · Replies 6 ·
Replies
6
Views
2K
  • · Replies 8 ·
Replies
8
Views
2K