Navier Stokes EquationQuestion about the Diff EQ

Click For Summary

Discussion Overview

The discussion revolves around the Navier-Stokes equations and their application to a specific velocity field in fluid mechanics. Participants explore the mathematical conditions under which the given velocity field can be considered a solution to the equations, focusing on the implications of pressure gradients and the concept of exactness in solutions.

Discussion Character

  • Technical explanation
  • Mathematical reasoning
  • Debate/contested

Main Points Raised

  • Casey questions the meaning of "exact" in the context of solutions to the Navier-Stokes equations and what it would imply if a solution is not exact.
  • Casey seeks clarification on the need for cross-differentiation of pressure gradients and the concept of compatibility in this context.
  • One participant explains that the curl of the gradient of a scalar function is zero, suggesting that cross-differentiation checks for the existence of a scalar pressure function.
  • Another participant proposes that if the curl of the vector field is zero, it indicates that the velocity field can be expressed as the gradient of a scalar function, which is necessary for it to be a valid solution to the Navier-Stokes equations.
  • Participants discuss the implications of finding a consistent pressure function from the derived pressure gradients and the necessity of ensuring that all expressions for pressure are equivalent.
  • There is a mention of the relationship between the mathematical properties of the pressure function and the physical validity of the velocity field as a solution.

Areas of Agreement / Disagreement

Participants express varying levels of understanding regarding the mathematical concepts involved, particularly around the use of curl and the implications of exact solutions. There is no consensus on the definitions of "exact" and "compatible," and the discussion remains unresolved on these points.

Contextual Notes

Some participants acknowledge limitations in their multivariate skills, which may affect their understanding of the mathematical reasoning presented. The discussion also highlights the dependence on definitions and the need for clarity in the mathematical properties being discussed.

Saladsamurai
Messages
3,009
Reaction score
7
Hello! :smile: I am going over an example in my fluid mechanics text and I am confused about a few lines. My question is more about the math then the fluid mechanics. In fact, I doubt you need to understand the FM at all; if you understand Diff eqs, you can probably answer my question.

I am given the components of the velocity field:

[tex]u = a(x^2-y^2)\,\,\,\,\,\,\,\,\,\,\,v = -2axy\,\,\,\,\,\,\,\,\,\,w=0[/tex]

and I am also given that gravity only acts in the downward z direction [itex]g_z = -g[/itex].

The example question asks to first determine under what conditions the given velocity field is a solution to the Navier-Stokes equation. Then, assuming that these conditions are met, determine the resulting pressure distribution p(x,y,z).

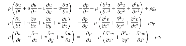
The Navier-Stokes EQs are given by:

Picture12-1.png


Their approach is as follows. They say
Assume steady state flow and let viscosity [itex]\mu[/itex] and density [itex]\rho[/itex] be constant. Substitute the known (u, v, w) into the N-S equations and solve for the pressure gradients. If a unique pressure function p(x,y,z) can be found, the given solution is exact.

1st question: what do they mean by exact? What would it mean to not be exact?Alright, now after a whole bunch a solving that you don't need to see, we end up with the following pressure gradients:

[tex]\frac{\partial{p}}{\partial{x}}=-2a^2\rho(x^3+xy^2)[/tex]

[tex]\frac{\partial{p}}{\partial{y}}=-2a^2\rho(x^2y+y^3)[/tex]

[tex]\frac{\partial{p}}{\partial{z}}=\rho g[/tex]

The book then says:
The vertical pressure is hydrostatic since w=0. To determine if the x and y gradients of pressure are compatible, evaluate the mixed derivative; that is cross-differentiate the two EQs.

2nd question Why do I need to do this? What do they mean compatible? I know that this is reminisce of an 'exact diff EQ,' but I don't really know what that means ... I just know how to solve one by going through the motions.

So we then go ahead and cross-differentiate and find that

[tex]\frac{\partial{}}{\partial{y}}(\frac{\partial{p}}{\partial{x}}) = \frac{\partial{}}{\partial{x}}(\frac{\partial{p}}{\partial{y}})[/tex]

But I still do not know why we care. And secondly, why don't we cross-differentiate

[tex]\frac{\partial{p}}{\partial{z}}=\rho g[/tex]

with anything?

Any insight would be greatly appreciated.

~Casey
 
Last edited:
Physics news on Phys.org
Okay:

1. Remember that the curl of the gradient of a scalar function is zero!
2. The converse is also true:
IF the curl of a vector field is zero, then that vector field MUST be the gradient of a scalar function!
Thus, by making the "cross-differentiation", what you are actually doing is to compute the z-component of the curl, and finding out it is zero.
The x-and y-components of the curl are trivially zero, since differentiation of the vector field's x-and y-components with respect to z yields 0, AND the differentiation of -pg with respect to x-and y- also yields zero.


YOu can also solve this explicitly as follows:
[tex]\frac{\partial{p}}{\partial{z}}=-\rho{g}\to{p}(x,y,z)=-\rho{g}z+H(x,y) (1)[/tex]
where H is some function of x and y.
[tex]\frac{\partial{p}}{\partial{x}}=-2a^{2}\rho(x^{3}+x^{2}y)\to{p}(x,y,z)=}}=-2a^{2}\rho(\frac{1}{4}x^{4}+\frac{1}{2}x^{2}y^{2})+F(y,z)(2)[/tex]
[tex]\frac{\partial{p}}{\partial{y}}=-2a^{2}\rho(y^{3}+y^{2}x)\to{p}(x,y,z)=}}=-2a^{2}\rho(\frac{1}{4}y^{4}+\frac{1}{2}x^{2}y^{2})+G(x,z)(3)[/tex]

Now, these three expressions, (1),(2) and (3) for p must specify the SAME function!
We can do this by setting:
[tex]H(x,y)=-2a^{2}\rho(\frac{1}{4}x^{4}+\frac{1}{2}x^{2}y^{2}+\frac{1}{4}y^{4})+K[/tex]
K being a constant.
[tex]F(y,z)=-2a^{2}\rho(\frac{1}{4}y^{4})-\rho{gz}+K[/tex]
[tex]G(x,z)=-2a^{2}\rho(\frac{1}{4}x^{4})-\rho{gz}+K[/tex]

Thus, (1), (2) and (3) represents the SAME equation, and we get the final pressure distribution:
[tex]p(x,y,z)=)=-2a^{2}\rho(\frac{1}{4}x^{4}+\frac{1}{2}x^{2}y^{2}+\frac{1}{4}y^{4})-\rho{gz}+K=-\frac{a^{2}\rho}{2}(x^{2}+y^{2})^{2}-\rho{gz}+K[/tex]
 
Last edited:
Dude. My mind just got blown. I think I have another question, but I have no idea how to voice it.

Let me ask you this arildno, just to satisfy my curiosity: Did you solve this by taking a fluid mechanics approach or just from a mathematical stance? (or both?)

I only ask because the word curl never even crossed my mind, nor has it been mentioned up to this point. So I get the feeling it was the latter.

Thank you so much for your help thus far! :smile:
 
Since I have a Master's in F.M., I am no longer sure how I learned it once back in the stone age.

But, just to reassure myself:

You DO know what the curl of a vector field is, right?
 
My multivariate skills are rubbish I will admit; and I am working on that. But yes, I do know that the curl of a vector field tells us something about its rate of rotation. And I do know how to compute the curl of a vector field using the notation abusive 'determinant method.'

I am just not sure how you even decided to invoke the use of curl? It seems purely mathematical (not that that is a bad thing, I just am not there yet).
 
Saladsamurai said:
<snip>

1st question: what do they mean by exact? What would it mean to not be exact?

<snip>

2nd question Why do I need to do this? What do they mean compatible? <snip>

I don't know what the author's intentions are by 'exact' and 'compatible', but my answers would be:

1) If a function P(x,y,z) can be determined, the velocity function then satisfies the N-S equations, and so can be considered an analytic solution, rather than an approximate solution.

2) The gradient of the function P(x,y,z) is given, and from that, we guess that P(x,y,z) can be separated into a function that goes like P(x,y)*Q(z). The business of cross-derivatives comes from some mathematical property that ensures the function itself is "nice" (I forget the formal logic... 'continuous', maybe?)

http://en.wikipedia.org/wiki/Symmetry_of_second_derivatives#Clairaut.27s_theorem

Anyhow, because the x and y dependence is separated from z, the second derivative rule is automatically satisfied for those pairs that you note are missing.

hope this helps...
 
Saladsamurai said:
My multivariate skills are rubbish I will admit; and I am working on that. But yes, I do know that the curl of a vector field tells us something about its rate of rotation. And I do know how to compute the curl of a vector field using the notation abusive 'determinant method.'

I am just not sure how you even decided to invoke the use of curl? It seems purely mathematical (not that that is a bad thing, I just am not there yet).

OKay:

1. You were given a velocity field.

2. You were asked to verify that this can, indeed, be a valid solution to the Navier-Stokes equations.

3. If it is to be a valid solution, then it must be possible to find a SCALAR FUNCTION "p" that can play the role of pressure.

4. By taking the curl of the given vectorial expression, we find that this is 0, i.e, that N-S has been reduced to a GRADIENT expression for the pressure.

5. Therefore, the given velocity field CAN BE a valid solution to the N-S equation.

6. If 4. had given something else than 0, then your velocity field is unphysical, in the sense it cannot be a solution to the N-S equation.
 

Similar threads

  • · Replies 0 ·
Replies
0
Views
3K
  • · Replies 4 ·
Replies
4
Views
2K
  • · Replies 3 ·
Replies
3
Views
2K
  • · Replies 7 ·
Replies
7
Views
3K
  • · Replies 18 ·
Replies
18
Views
3K
  • · Replies 3 ·
Replies
3
Views
1K
  • · Replies 4 ·
Replies
4
Views
2K
  • · Replies 3 ·
Replies
3
Views
1K
  • · Replies 4 ·
Replies
4
Views
2K
  • · Replies 1 ·
Replies
1
Views
3K