Oscillating Spring in a Frictionless pulley system

Click For Summary

Homework Help Overview

The discussion revolves around a physics problem involving an oscillating spring in a frictionless pulley system. Participants are attempting to analyze forces acting on the system, particularly focusing on free body diagrams, tension in the rope, and the spring constant.

Discussion Character

  • Exploratory, Assumption checking, Problem interpretation

Approaches and Questions Raised

  • Participants discuss drawing free body diagrams and solving for tension, while some express concerns about insufficient information regarding the spring's equilibrium and relaxed lengths. Others question the assumptions made about the spring constant and its implications on the problem.

Discussion Status

The discussion is ongoing, with participants providing guidance on how to approach the problem. There are multiple interpretations of the spring's characteristics and its role in the system, indicating a productive exploration of the topic.

Contextual Notes

Some participants note the need for additional information, such as the full problem statement and specific values for the spring's lengths, which are currently unclear. There is also mention of potential errors in previous calculations and assumptions made about forces acting on the masses.

jschim
Messages
11
Reaction score
0
Homework Statement
Oscillating Spring Problem With a Pulley. Need Answer by 3/3/20 please help.
Relevant Equations
w=sqrt(k/m)
f=ma
Us=1/2kx^2
physics.PNG


1. Draw Free body Diagram for each weight.

2. Solve for Tension in Rope.

3. Find Spring Constant.

4. Find omega (w, or angular velocity)
 
Physics news on Phys.org
Is there a question you wish to ask? We don't do your homework for you. Tell us what you think and show your attempt at a solution. Start with the free body diagrams. This might take longer than you have allowed.
 
There is not enough information. E.g. consider spring constant =0; it does not contradict any given info.
Need to know the equilibrium length of the spring as well as the relaxed length. Or maybe 0.2m is supposed to be the equilibrium extension of the spring?
 
haruspex said:
There is not enough information. E.g. consider spring constant =0; it does not contradict any given info.
Need to know the equilibrium length of the spring as well as the relaxed length. Or maybe 0.2m is supposed to be the equilibrium extension of the spring?
I was about to edit my post and add that we need the full statement of the problem. The 0.2 m, a.k.a. the unstrained length, must be the no load length.
 
the spring at equilibrium is 0.2 meters
 
kuruman said:
I was about to edit my post and add that we need the full statement of the problem. The 0.2 m, a.k.a. the unstrained length, must be the no load length.
jschim said:
the spring at equilibrium is 0.2 meters
I was careful to write "equilibrium extension", i.e the extension at equilibrium. Knowing only the equilibrium length, but not the relaxed length, doesn't help.
 
haruspex said:
I was careful to write "equilibrium extension", i.e the extension at equilibrium. Knowing only the equilibrium length, but not the relaxed length, doesn't help.
sorry, I am not very good at physics, the equilibrium extension is 0.2 meters
 
jschim said:
sorry, I am not very good at physics, the equilibrium extension is 0.2 meters
Ok, so post an attempt, per forum rules.
 
haruspex said:
Ok, so post an attempt, per forum rules.
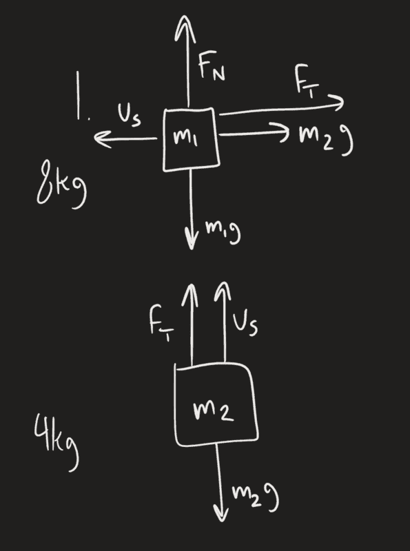
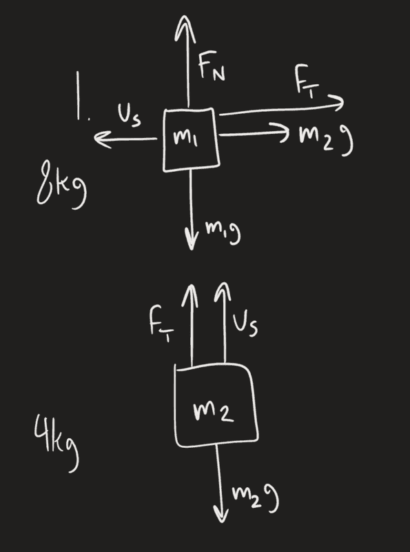
physics fbd.PNG


here is the free body diagrams, I am working on the rest
 
  • #10
jschim said:
View attachment 258016

here is the free body diagrams, I am working on the rest
You should only consider forces acting directly on a body. Mass m1 doesn’t 'know' anything about m2g, just the tension. Similarly m2.
 
  • #11
tension.PNG

I tried my best, but I am not sure how to work around finding tension with the spring involved
 
  • #12
k.PNG
w.PNG

here are the last two parts. Thank you for helping me!
 
  • #13
haruspex said:
You should only consider forces acting directly on a body. Mass m1 doesn’t 'know' anything about m2g, just the tension. Similarly m2.
I tried part two again based on you advice and I think I did it correctly.

Fnet=ma

T-mg=mg

T=2mg

T=2(.4)(9.8)

T=7.84 N
 
  • #14
jschim said:
View attachment 258018View attachment 258019
here are the last two parts. Thank you for helping me!
I just realized I messed up my units on #3 by a power of 10. It should be .588 rather than .0588 and 470.4 rather than 47.4
 
  • #15
jschim said:
T-mg=mg
I assume this is for m2.
How many forces act on m2 and what are they?
 
  • #16
haruspex said:
I assume this is for m2.
How many forces act on m2 and what are they?
weight acts downwards, and tension acts upwards
 
  • #17
jschim said:
weight acts downwards, and tension acts upwards
Right, so what equation does that give for balance?
 
  • #18
haruspex said:
Right, so what equation does that give for balance?
netF=tension-weight

right??
 
  • #19
jschim said:
netF=tension-weight

right??
Right, this is the net force on the hanging mass. What is it equal to?
 
  • #20
kuruman said:
Right, this is the net force on the hanging mass. What is it equal to?
It would be equal to the hanging mass times acceleration, in this case, gravity.

f=ma
 
  • #21
Correct. Can you write another equation expressing Newton's 2nd law using the free body diagram of the mass attached to the spring? Do that using symbols, not numbers. Also to distinguish the masses from each other use m1 for the mass on the table and m2 for the hanging mass. Once you have written the second equation, put them on two separate lines, one below the other.
 
  • #22
jschim said:
It would be equal to the hanging mass times acceleration
Yes.
jschim said:
in this case, gravity.
It is not accelerating. It is stationary until the spring is released.
 
  • #23
kuruman said:
Correct
No, what @jschim wrote in post #20 goes wrong at the end. I suspect this is how he or she got the erroneous T-mg=mg in post #13.
 
  • #24
haruspex said:
No, what @jschim wrote in post #20 goes wrong at the end. I suspect this is how he or she got the erroneous T-mg=mg in post #13.
Yes, of course. I guess I stopped reading after "mass times acceleration".
 

Similar threads

  • · Replies 18 ·
Replies
18
Views
2K
  • · Replies 3 ·
Replies
3
Views
2K
  • · Replies 10 ·
Replies
10
Views
5K
  • · Replies 8 ·
Replies
8
Views
2K
  • · Replies 10 ·
Replies
10
Views
2K
  • · Replies 23 ·
Replies
23
Views
3K
  • · Replies 22 ·
Replies
22
Views
8K
  • · Replies 40 ·
2
Replies
40
Views
5K
  • · Replies 5 ·
Replies
5
Views
1K
Replies
24
Views
4K