PFR with axial dispersion - CSTR in series conversion?

Click For Summary
SUMMARY

The discussion focuses on developing an Excel model to determine parameters for a Continuous Stirred Tank Reactor (CSTR) in series with a Plug Flow Reactor (PFR) that includes axial dispersion. The user successfully calculated the flow curve for Pe using Excel's Goal Seek function, achieving a Pe value of 7.676 and a conversion rate of 68% exiting the PFR. However, the user struggles to relate the conversion from the PFR to the CSTR and seeks guidance on how to set up the CSTR conversion section to find the overall conversion.

PREREQUISITES
  • Understanding of Continuous Stirred Tank Reactor (CSTR) dynamics
  • Knowledge of Plug Flow Reactor (PFR) modeling with axial dispersion
  • Proficiency in Excel, particularly with Goal Seek and formula manipulation
  • Familiarity with reaction kinetics, specifically n-order reactions
NEXT STEPS
  • Research how to model CSTR conversions in series with PFRs
  • Learn about the dispersion coefficient and its impact on reactor performance
  • Explore advanced Excel techniques for chemical engineering applications
  • Study the relationship between residence time distribution (RTD) and reactor design
USEFUL FOR

Chemical engineers, process engineers, and students working on reactor design and optimization, particularly those focusing on continuous reactor systems and conversion calculations.

Andrew O Regan
Messages
3
Reaction score
0

Homework Statement


Here is the problem description:

Develop an Excel file that given a set of data from an RTD pulse injection will determine the model parameters of the following schematics, and then predict the conversion in a CONTINUOUS reactor with a n-order reaction (where n is not equal to 1)

upload_2016-5-9_11-47-48.png


Homework Equations


upload_2016-5-9_11-49-8.png

upload_2016-5-9_11-49-36.png

upload_2016-5-9_11-49-56.png

upload_2016-5-9_11-50-22.png

The Attempt at a Solution


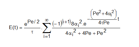
The above formulae were used in this assignment to take the user inputs and populate the excel spreadsheet.

upload_2016-5-9_11-52-25.png

The above formula is simplified to form the equation for the model which is calculated using varying values of alpha.

The flow model needs the roots of:
upload_2016-5-9_11-53-54.png


Pe is calculated from the known result:

upload_2016-5-9_11-54-26.png


This then generates the flow curve for Pe in excel.

Solving the equation above for this trial gives Pe=7.676. This was done in Excel using the Goal Seek function to find when the first term of the equation above was equal to the second.

As can be seen from the figure below, the term chosen for Pe gives a difference of 0.0152 between the terms.

upload_2016-5-9_11-56-41.png


To calculate the conversion, a further two equations are needed:

upload_2016-5-9_11-57-36.png


Where q was calculated using formula mentioned above.

The eventual conversion calculated for this run was 68%.

This is for the conversion exiting the PFR.

The difficulty I am having is with the CSTR. I don't know how to relate the two reactors.

I am treating this setup as closed-closed.

I do not know how to translate the information I have into setting up the CSTR conversion section, to find my overall conversion?

Any information/help in guiding me to a solution would be very much appreciated.

Thank you.
 
Physics news on Phys.org
I don't understand what they are asking of you. You show a plug flow reactor followed by a CSTR, and the plug flow reactor has axial dispersion. Somehow, you are supposed to find the parameters for this reactor system (the dispersion coefficient, the total volume, and the volume split) based on an RTD they give you. Is that correct? Let's see the RTD.
 

Similar threads

  • · Replies 3 ·
Replies
3
Views
2K
Replies
1
Views
3K
  • · Replies 3 ·
Replies
3
Views
3K
  • · Replies 10 ·
Replies
10
Views
40K
Replies
3
Views
4K
  • · Replies 1 ·
Replies
1
Views
6K
  • · Replies 5 ·
Replies
5
Views
6K
  • · Replies 20 ·
Replies
20
Views
12K
  • · Replies 1 ·
Replies
1
Views
4K
Replies
1
Views
2K