Please, HELP ME indentify this equation

  • Thread starter Thread starter lgbarajas
  • Start date Start date
Click For Summary
SUMMARY

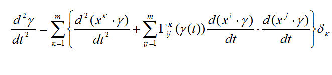
The equation in question relates to acceleration in curved spaces and is derived from tensor calculus, specifically in the context of virtual work. The discussion highlights its appearance in the Wikipedia article on Fictitious Forces in Curvilinear Coordinates. A crucial detail is the need for a boldface 'a' in front of the equation, indicating its significance in the context of acceleration. The equation's relevance is confirmed by its placement in the mechanics of planar particle motion.

PREREQUISITES
  • Tensor calculus fundamentals
  • Understanding of virtual work principles
  • Knowledge of curvilinear coordinates
  • Familiarity with mechanics of planar particle motion
NEXT STEPS
  • Study tensor calculus applications in physics
  • Research virtual work and its implications in mechanics
  • Explore curvilinear coordinates in detail
  • Review the mechanics of planar particle motion on Wikipedia
USEFUL FOR

Students and professionals in physics, particularly those focusing on mechanics, tensor calculus, and curvilinear motion. This discussion is beneficial for anyone seeking to understand the application of advanced mathematical concepts in physical equations.

lgbarajas
Messages
1
Reaction score
0
Cannot recognize the use or description of this equation... can anyone help me?

Thanks in advance
 

Attachments

  • Ecuacion.png
    Ecuacion.png
    3.1 KB · Views: 607
Mathematics news on Phys.org
The gamma here is from tensor calculus. Everything outside the bracketed part reminds me of virtual work almost. It could be acceleration equals the sum of the virtual work in each k^th direction (plus some mixing up of the indices). Now, I haven't had enough tensor calculus to help you more; sorry.

I have a question though. Where did you find this equation? I have no context to work with here.
 
I thought about what I posted and then started searching for those key terms I talked about. I found the image on Wikipedia (the source of all knowledge) under the section on Fictitious Forces in Curvilinear Coordinates. It was the last equation given. I thought it was similar in form, so I posted it.

dbe726d8d53aa4fc458150c380535db4.png


There should be a bold face a in front of the equation. Wikipedia says this is for acceleration in curved spaces/manifolds.

The website is:

http://en.wikipedia.org/wiki/Mechanics_of_planar_particle_motion

Hope that helped!
 
Last edited:

Similar threads

  • · Replies 3 ·
Replies
3
Views
1K
  • · Replies 44 ·
2
Replies
44
Views
5K
  • · Replies 14 ·
Replies
14
Views
2K
  • · Replies 4 ·
Replies
4
Views
2K
  • · Replies 4 ·
Replies
4
Views
4K
  • · Replies 4 ·
Replies
4
Views
2K
  • · Replies 2 ·
Replies
2
Views
2K
  • · Replies 6 ·
Replies
6
Views
2K
  • · Replies 1 ·
Replies
1
Views
1K
  • · Replies 3 ·
Replies
3
Views
2K