Polarization and intensity of a Gaussian beam

Click For Summary

Discussion Overview

The discussion focuses on the relationship between polarization and intensity in Gaussian beams, exploring concepts of intensity distribution and the nature of polarization in relation to the electric field direction.

Discussion Character

  • Technical explanation, Conceptual clarification, Debate/contested

Main Points Raised

  • One participant questions how circular intensity can be achieved in all directions while the polarization is assumed to be in the x-direction.
  • Another participant states that the choice of polarization direction is arbitrary as long as it is perpendicular to the propagation direction (z-axis).
  • It is noted by some that intensity is a scalar quantity, and terms like "linear" or "circular" intensity are not applicable.
  • A participant expresses confusion about what determines the shape of the intensity distribution and questions whether the polarization vector diminishes at the edges.
  • Another participant responds that as one moves away from the center of the beam, the electric field strength decreases but maintains its direction.

Areas of Agreement / Disagreement

Participants express differing views on the relationship between polarization and intensity, with some clarifying definitions while others raise questions about the implications of these concepts. The discussion remains unresolved regarding the specifics of intensity shape and polarization behavior.

Contextual Notes

There are limitations in the assumptions made about the relationship between polarization and intensity, as well as the definitions of intensity in this context. The discussion does not resolve these complexities.

Sciencestd
Messages
60
Reaction score
9
Gaussian beam for forum.jpg


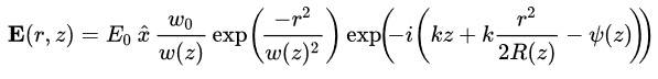
The equation above (from Wikipedia), assumed that the Gaussain beam has polarization in x-direction, as I know that the polarization means that the oscillation direction of the electric field and so the intenisty... so how we get circular intensity in every direction which means in x and y, above mentioned it with "r"... I can't connect between the two things..
Thank you.
 
Last edited:
Science news on Phys.org
The versor along the x direction is arbitrary. Any direction, perpendicular to z, is valid.
 
  • Like
Likes   Reactions: Sciencestd
In addition, intensity is a scalar. We don't have "linear" or "circular" intensity.
 
  • Like
Likes   Reactions: Sciencestd
Gordianus said:
In addition, intensity is a scalar. We don't have "linear" or "circular" intensity.
Thank you so much for the answers. So what decide the intensity shape?
And the second question can I say that the polarization vector of the electric field is shorter and shorter in the sides?
 
When you move away from the center the electric field gets smaller but it points in the same direction.
 
  • Like
Likes   Reactions: Sciencestd

Similar threads

  • · Replies 5 ·
Replies
5
Views
4K
  • · Replies 2 ·
Replies
2
Views
2K
  • · Replies 3 ·
Replies
3
Views
1K
  • · Replies 2 ·
Replies
2
Views
1K
  • · Replies 3 ·
Replies
3
Views
2K
Replies
10
Views
2K
  • · Replies 3 ·
Replies
3
Views
2K
  • · Replies 0 ·
Replies
0
Views
3K
  • · Replies 1 ·
Replies
1
Views
4K
  • · Replies 4 ·
Replies
4
Views
4K