Pressure drop across a thick orifice

Click For Summary

Discussion Overview

The discussion revolves around calculating the pressure drop across a thick orifice in a pipe system where the diameter changes from 1 inch to 0.5 inches and back to 1 inch. Participants explore the setup and solution for this problem, considering factors such as flow rate and the geometry of the orifice.

Discussion Character

  • Technical explanation
  • Mathematical reasoning
  • Debate/contested

Main Points Raised

  • One participant seeks to understand how to calculate the pressure drop across the orifice, given a specific flow rate of water.
  • Another participant suggests applying results from a previous discussion on pressure drop across a change in diameter, emphasizing the importance of dimensions in the calculations.
  • Questions are raised about the required accuracy of the answer and the specific flow rate being used.
  • A participant outlines their approach by dividing the problem into three regions and calculating a pressure drop of 0.088 psi across the orifice, questioning the correctness of their calculations and how to incorporate the length of the orifice.
  • Further clarification is sought regarding the flow rate and the desire for accuracy in the solution.
  • A reference to a textbook provides formulas for calculating pressure drop due to friction losses during sudden changes in cross-sectional area, introducing specific factors for contraction and expansion.
  • Discussion includes considerations of flow development and pressure drop estimates for fully developed flow versus flow in the entrance region.

Areas of Agreement / Disagreement

Participants express varying levels of understanding and approaches to the problem, with no consensus reached on the accuracy of calculations or the best method for solving the pressure drop across the orifice.

Contextual Notes

Participants mention the importance of flow rate and dimensions, as well as the need for clarity on assumptions regarding flow development and pressure drop calculations. There are unresolved questions regarding the impact of the orifice length on the pressure drop.

nlis12
Messages
32
Reaction score
3
Greetings,

I am trying to understand how to setup/solve for the pressure drop across an orifice L=3.5in

The pipe diameter starts at 1in, then abruptly decreases to 0.5in for the length of the orifice, and abruptly transitions to 1in diameter. (See the attached file for an illustration.)

Assuming I know the flow rate of the water, how can I solve for the pressure drop across this orifice?

Any information is appreciated!
Thanks!
 

Attachments

  • Illustration of flow.PNG
    Illustration of flow.PNG
    1.7 KB · Views: 780
Engineering news on Phys.org
How accurate does the answer have to be? What is the water flow rate?
 
  • Like
Likes   Reactions: nlis12
jrmichler said:
Start by applying the results of your earlier post: https://www.physicsforums.com/threads/pressure-drop-across-a-change-in-diameter.942158/. Show your calculations, add some dimensions, then ask again. Note that the dimensions (more correctly ratios) do make a difference in this particular case.

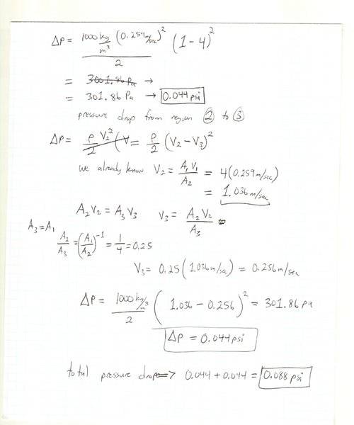
Here is my work. I assumed 3 regions. 1=before the orifice 2=in the orifice 3=after the orifice.
The fluid is water.
I broke the problem up into 2 parts.
Part 1: Transition between region 1 and 2
Part 2: Transition between 2 and 3.

I chose diameter of 1in in regions 1 and 3 and a diameter of 0.5in in region 2...
I also chose an input flow rate of 2gal/min in region 1.

I calculated a pressure drop of 0.044psi for both of the halfs of the problem. Totaling 0.088psi across the orifice. (does this seem correct?)
Also, how can I account for the length of the orifice in my problem?

Thanks!

Flow1.JPG
Flow2.JPG
 

Attachments

  • Flow1.JPG
    Flow1.JPG
    22.8 KB · Views: 791
  • Flow2.JPG
    Flow2.JPG
    22.4 KB · Views: 754
Chestermiller said:
How accurate does the answer have to be? What is the water flow rate?

You get to choose the flow rate/velocity and the dimensions of the problem are set for you.
I chose 2gal/min as a nominal value.
I'd like to solve the problem as accurately and precisely as possible.

Thanks!
 
Bird, Stewart, and Lightfoot, Transport Phenomena, give the friction losses for different types of changes in cross sectional area in the form:
$$\Delta p=\frac{1}{2}\rho v^2 e_v$$where v is the downstream velocity and ##e_v## the "friction loss factor." For a sudden contraction, they recommend $$e_v=0.45(1-\beta)$$and, for a sudden expansion, $$e_v=\left(\frac{1}{\beta}-1\right)^2$$where ##\beta## is the smaller cross sectional area divided by the larger cross sectional area.

In the straight section, the L/D is 7, so the flow should not be fully developed. Still, for a lower bound, I would use the pressure drop for fully developed flow in a pipe of this diameter, and for an upper bound, I would use the pressure drop equivalent to the shear force at the wall in the hydrodynamic entrance region (i.e., essentially flow over a flat plate with the same free stream velocity as the mean flow velocity).
 
  • Like
Likes   Reactions: nlis12

Similar threads

Replies
4
Views
2K
  • · Replies 1 ·
Replies
1
Views
5K
  • · Replies 2 ·
Replies
2
Views
2K
  • · Replies 45 ·
2
Replies
45
Views
7K
  • · Replies 10 ·
Replies
10
Views
7K
Replies
5
Views
4K
Replies
10
Views
27K
  • · Replies 5 ·
Replies
5
Views
3K
  • · Replies 1 ·
Replies
1
Views
4K
  • · Replies 5 ·
Replies
5
Views
3K