Probability, Expected value, joint P.D.F. and order statistics

Click For Summary
SUMMARY

The discussion focuses on deriving specific mathematical terms related to order statistics and joint probability density functions (P.D.F.). The user seeks clarification on the derivation of the term represented as 2 = $n(n-1)(y-x)^{n-2}$, as well as the meaning of the constant 1 in the context of the example provided. Additionally, the user requests guidance on writing a computer program to verify results for Kth order statistics with sample sizes of n = 3 and n = 4.

PREREQUISITES
  • Understanding of order statistics in probability theory
  • Familiarity with joint probability density functions (P.D.F.)
  • Basic programming skills for statistical simulation
  • Knowledge of mathematical notation and derivations
NEXT STEPS
  • Study the concept of Kth order statistics in depth
  • Learn about joint probability density functions (P.D.F.) and their applications
  • Implement a simulation in Python or R to verify order statistics
  • Explore mathematical proofs related to expected values and their derivations
USEFUL FOR

Mathematicians, statisticians, data scientists, and students studying probability theory and order statistics.

WMDhamnekar
MHB
Messages
381
Reaction score
30
I want to know how did author derive the red underlined term in the below given Example?
Probability,Expectedvalue.png


Would any member of Math help board enlighten me in this regard?

Any math help will be accepted.
 
Last edited:
Physics news on Phys.org
Following reading material is necessary to answer my question. After reading the following material, you may answer my following questions and therby clear my doubts:
1) What is the meaning of 1 ?

2) How did author make 2 = $n(n-1)(y-x)^{n-2} ?$

3) How to prove 3 ?

Order Statistics:
1655698746147.png


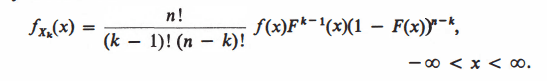
Kth order statistics:

1655699729971.png

1655698794206.png


1655698865555.png
 
Write a computer program (in the language of your choice) that verifies the results in this Example for the case n = 3 and n =4 by taking large numbers of samples.

How to answer this question?
 

Similar threads

  • · Replies 3 ·
Replies
3
Views
3K
  • · Replies 3 ·
Replies
3
Views
2K
  • · Replies 1 ·
Replies
1
Views
2K
  • · Replies 8 ·
Replies
8
Views
3K
  • · Replies 16 ·
Replies
16
Views
2K
  • · Replies 1 ·
Replies
1
Views
2K
  • · Replies 20 ·
Replies
20
Views
4K
  • · Replies 19 ·
Replies
19
Views
3K
  • · Replies 9 ·
Replies
9
Views
5K
  • · Replies 1 ·
Replies
1
Views
2K