Probability of electron in hydrogen nucleus for 1s and 2s wave-functions

Click For Summary

Homework Help Overview

The discussion revolves around calculating the probability of finding an electron in the nucleus of a hydrogen atom using the 1s and 2s wave functions. The context involves understanding probability density functions and integrating these functions over a specified radius, particularly focusing on the nucleus's radius.

Discussion Character

  • Exploratory, Conceptual clarification, Mathematical reasoning, Assumption checking

Approaches and Questions Raised

  • Participants discuss the method of using the probability density function by squaring the wave functions and integrating over the radius of the nucleus. Questions arise about the correct limits of integration and the role of the Bohr radius in calculations.

Discussion Status

The discussion is active with participants exploring different interpretations of the integration process and the implications of using the radial wave function. Some guidance has been provided regarding the need for integration and the consideration of angular components, although there is still uncertainty about the exact approach to take.

Contextual Notes

There is mention of the Bohr radius and its significance in the calculations, as well as the challenge of determining the limits of integration based on the given radius of the nucleus. Participants also express uncertainty about the assumptions related to the quantization of energy levels and the locations where an electron can be found.

guyvsdcsniper
Messages
264
Reaction score
37
Homework Statement
For the 1s and 2s wave functions, find the probability of the electron to be found inside the nucleus (a sphere of radius R). A typical nucleus has a radius of 1e-15 m.
Relevant Equations
Probabily Density Function
For this problem, Is it as simple as using the probability density function, P = Ψ2 and plugging in the radius value given to me?

So essentially I am just squaring the wave function and plugging in?
 
Physics news on Phys.org
quittingthecult said:
Homework Statement:: For the 1s and 2s wave functions, find the probability of the electron to be found inside the nucleus (a sphere of radius R). A typical nucleus has a radius of 1e-15 m.
Relevant Equations:: Probabily Density Function

For this problem, Is it as simple as using the probability density function, P = Ψ2 and plugging in the radius value given to me?

So essentially I am just squaring the wave function and plugging in?
Essentially yes, but plugging into what? Please show what you intend to do.
 
So I used the radial wave functions from this website, http://plato.mercyhurst.edu/chemistry/kjircitano/InorgStudysheets/InorgWaveFunction.pdf

and basically squared each wave function. I am given the radius of a nucelus which is r=1x10-15.

So I plug that in for r in the function and also need to plug in for a.

Does that seem correct?
IMG_9361.JPG
 
It is correct as far as squaring the wavefunctions is concerned. That's step 1. What comes next?
 
  • Like
Likes   Reactions: bob012345
kuruman said:
It is correct as far as squaring the wavefunctions is concerned. That's step 1. What comes next?
It should just be plugging in. Do you know where I can find the value of a? I wasnt given that information
 
Just leave it as a. Maybe it will cancel out. If by "plugging in" you mean replacing ##r## with ##R##, that is incorrect. You need to do an integral.
 
It may help to review what the definition of the probability density function is and how does it relate to probability?
 
kuruman said:
Just leave it as a. Maybe it will cancel out. If by "plugging in" you mean replacing ##r## with ##R##, that is incorrect. You need to do an integral.
So does that mean instead of integrating ∫ψ2r2dr, I should be integrating∫ψ2R2dR?
 
quittingthecult said:
Do you know where I can find the value of a?
Actually, what you call ##a## should be ##a_0##, a.k.a. the Bohr radius. It is given in terms of other constants at the bottom of the first page of the document that you linked in post #3. You can also look it up under "Bohr radius" if you don't trust yourself to calculate its numerical value.
 
  • #10
quittingthecult said:
So does that mean instead of integrating ∫ψ2r2dr, I should be integrating∫ψ2R2dR?
I never implied that. I just didn't understand what you meant by "plug in". Integrate ##\int \psi^2(r)r^2dr##. What are the limits of integration?
 
  • #11
kuruman said:
I never implied that. I just didn't understand what you meant by "plug in". Integrate ##\int \psi^2(r)r^2dr##. What are the limits of integration?
It should be 0 to R. Sorry I misunderstood you at first but waited for you to respond. So given that the radius is typically 1x10-15m, I guess you could say the limit of integration should be 0 to 1x10-15m?
 
  • #12
quittingthecult said:
It should be 0 to R. Sorry I misunderstood you at first but waited for you to respond. So given that the radius is typically 1x10-15m, I guess you could say the limit of integration should be 0 to 1x10-15m?
Correct. Go for it.
 
  • #13
Also, don't forget the angular part of the integration.
 
  • #14
kuruman said:
Correct. Go for it.
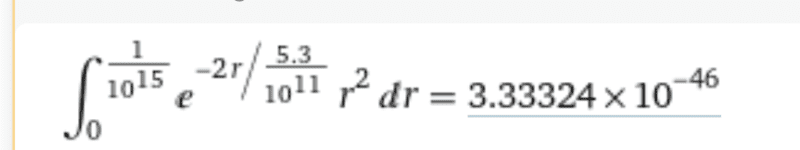
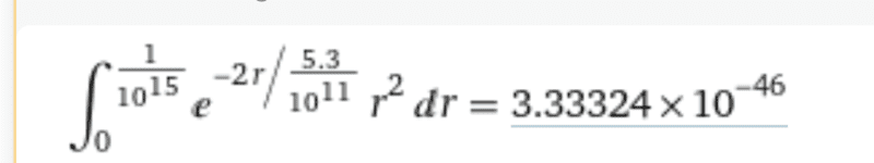
I used wolframalpha and got this
Screen Shot 2022-04-08 at 8.35.35 PM.png


Which I guess makes sense. The probability of this happening is very unlikely, but not zero.
 
  • #15
bob012345 said:
Also, don't forget the angular part of the integration.
I thought since I was using the radial wave function I just need to integrate wrt to r^2dr?
 
  • #16
quittingthecult said:
I used wolframalpha and got this View attachment 299621

Which I guess makes sense. The probability of this happening is very unlikely, but not zero.
It would be better to do the integration symbolically first then plug in numbers. Also so we can see if it is correct.
 
  • Like
Likes   Reactions: guyvsdcsniper and kuruman
  • #17
quittingthecult said:
I thought since I was using the radial wave function I just need to integrate wrt to r^2dr?
Use the full wave function in the integration since you want the actual probability. It is true the angular part will be constant up for 1s and 2s. But it is still there.
 
  • #18
bob012345 said:
Also, don't forget the angular part of the integration.
There should be no angular part because the quoted radial wavefunction is normalized so that ##\int_0^{\infty} \psi^2(r)r^2dr=1##.
 
  • Like
Likes   Reactions: bob012345
  • #19
quittingthecult said:
I used wolframalpha and got this View attachment 299621

Which I guess makes sense. The probability of this happening is very unlikely, but not zero.
That's not what I got.
 
  • #20
kuruman said:
That's not what I got.
I used a different program and I got 1x10-11, but that was with using the value 5.3*10-11 for a0 that i found on google.
 
  • #21
quittingthecult said:
I used a different program and I got 1x10-11, but that was with using the value 5.3*10-11 for a0 that i found on google.

EDIT:

Now I did it by hand using the tabular method and a0 = 5.3*10-11 and, taking the absolute value, 3.72*10-32
 
  • #22
quittingthecult said:
I used a different program and I got 1x10-11, but that was with using the value 5.3*10-11 for a0 that i found on google.
That is the correct value for ##a_0##. You don't need a program for this. It is easier to integrate a polynomial so expand the exponential in Taylor series first. How many terms do you think you should keep if each one is smaller than the previous one by a factor of ##R/a_0\approx 10^{-5}?##
 
  • #23
kuruman said:
That is the correct value for ##a_0##. You don't need a program for this. It is easier to integrate a polynomial so expand the exponential in Taylor series first. How many terms do you think you should keep if each one is smaller than the previous one by a factor of ##R/a_0\approx 10^{-5}?##
Not sure if you read my edit as our post are very close but I did get a value of 3.72*10-32 after doing it by hand. Does this seem correct?

But to answer your question, I would think maybe just the first term? There isn't much change in the values if its a magnitude of 10-5
 
  • #24
quittingthecult said:
Not sure if you read my edit as our post are very close but I did get a value of 3.72*10-32 after doing it by hand. Does this seem correct?

But to answer your question, I would think maybe just the first term? There isn't much change in the values if its a magnitude of 10-5
Yes, by all means use the first term. That will give you an independent check of what the answer ought to be. The second term can only change the answer after the first 4 significant figures.
 
  • Like
Likes   Reactions: guyvsdcsniper
  • #25
kuruman said:
Yes, by all means use the first term. That will give you an independent check of what the answer ought to be. The second term can only change the answer after the first 4 significant figures.
So the probability is nonzero. It is small but still not zero.

So the next question I have to ask is, is there any location where it is NOT possible to find an electron?

My friend is saying it can't be between energy levels. It is quantized because the only energy values are energy eigen values, so it can be in superposition of several but never between them.

I actually don't know if he is correct, he is taking QM I and I am still in modern physics so I can't really relate to what he is saying.

For me, it seems to me like the isn't a place you couldn't find an electron. I mean we just proved that the low chances of it being in the nucleus.
 
  • #26
quittingthecult said:
So the probability is nonzero. It is small but still not zero.

So the next question I have to ask is, is there any location where it is NOT possible to find an electron?

My friend is saying it can't be between energy levels. It is quantized because the only energy values are energy eigen values, so it can be in superposition of several but never between them.

I actually don't know if he is correct, he is taking QM I and I am still in modern physics so I can't really relate to what he is saying.

For me, it seems to me like the isn't a place you couldn't find an electron. I mean we just proved that the low chances of it being in the nucleus.
The problem you solved regarded the location of an electron or more accurately, the probability of it being located within a certain region wrt to the nucleus the electron is associated with. What energy level the electron occupies or the state it is in such as in the ##1s## state is not a physical location so apples and oranges but yes, it cannot be between states. So, distinguish between physical location and the state the electron is in.
 
  • #27
bob012345 said:
The problem you solved regarded the location of an electron or more accurately, the probability of it being located within a certain region wrt to the nucleus the electron is associated with. What energy level the electron occupies or the state it is in such as in the ##1s## state is not a physical location so apples and oranges.
thats fair enough, I didnt think about that.
 
  • #28
quittingthecult said:
thats fair enough, I didnt think about that.
I think you were both right in different ways.
 
  • #29
Did you do this symbolically? Say for the ##1s## wavefunction?
 
  • #30
quittingthecult said:
So the next question I have to ask is, is there any location where it is NOT possible to find an electron?

My friend is saying it can't be between energy levels. It is quantized because the only energy values are energy eigen values, so it can be in superposition of several but never between them.

I actually don't know if he is correct, he is taking QM I and I am still in modern physics so I can't really relate to what he is saying.

For me, it seems to me like the isn't a place you couldn't find an electron. I mean we just proved that the low chances of it being in the nucleus.
Your friend is wrong. The energy levels do not equate to precise radii. That's the whole point of the continuous wavefunction. If your friend imagines that an electron in the ground state must be found at the precise Bohr radius, then he is very wrong indeed.

The Bohr radius is only an "expected" or average value. The possible measurement of the electron's position follows a (continuous) probability distribution given by the modulus squared of the wavefunction.
 
Last edited:
  • Like
Likes   Reactions: guyvsdcsniper and PhDeezNutz

Similar threads

  • · Replies 18 ·
Replies
18
Views
2K
Replies
3
Views
2K
  • · Replies 1 ·
Replies
1
Views
1K
  • · Replies 10 ·
Replies
10
Views
2K
  • · Replies 4 ·
Replies
4
Views
2K
Replies
4
Views
2K
  • · Replies 4 ·
Replies
4
Views
1K
  • · Replies 43 ·
2
Replies
43
Views
6K
  • · Replies 9 ·
Replies
9
Views
3K
  • · Replies 28 ·
Replies
28
Views
4K