Problem with a triple integral in cylindrical coordinates

Click For Summary

Homework Help Overview

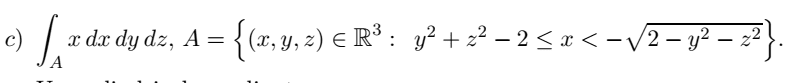
The discussion revolves around a triple integral problem in cylindrical coordinates, specifically addressing the omission of a solution involving r=√2 in the context of a geometric region defined by a half-sphere and a paraboloid.

Discussion Character

  • Exploratory, Assumption checking, Problem interpretation

Approaches and Questions Raised

  • Participants discuss the necessity of visual aids, such as drawings, to better understand the problem. There are repeated inquiries about the omission of r=√2 and its implications for the solution.

Discussion Status

The conversation is ongoing, with participants actively seeking clarification on the reasoning behind the omission of r=√2. Some guidance has been offered regarding the geometric interpretation of the region involved.

Contextual Notes

Participants are navigating the constraints of the problem, particularly the conditions that define the region of integration, which includes being "below" the half-sphere and "above" the paraboloid.

Amaelle
Messages
318
Reaction score
55
Homework Statement
look at the image
Relevant Equations
cylindrical coordinates
Good day
1613305455230.png

here is the solution
1613305505439.png

1613305575796.png
J just don't understand why the solution r=√2 has been omitted??
many thanks in advance
best regards!
 
  • Like
Likes   Reactions: docnet
Physics news on Phys.org
Easiest thing to do is make a drawing.
Plane z = 0 :

1613322264143.png
 
  • Like
  • Love
Likes   Reactions: Charles Link and docnet
thanks a lot and then? why sqrt(2) has been omitted?
 
The region needs to be "below" the half-sphere and "above" the paraboloid.
 
  • Like
  • Love
Likes   Reactions: Amaelle and BvU
thanks a million , you nail it!
 
  • Like
Likes   Reactions: Charles Link
BvU said:
Easiest thing to do is make a drawing.
Plane z = 0 :

View attachment 277967
thanks a million your graph with the explantion of Charle link is just awsome!
 
  • Like
Likes   Reactions: Charles Link

Similar threads

  • · Replies 1 ·
Replies
1
Views
2K
  • · Replies 2 ·
Replies
2
Views
2K
  • · Replies 4 ·
Replies
4
Views
2K
Replies
12
Views
2K
Replies
1
Views
2K
  • · Replies 2 ·
Replies
2
Views
2K
  • · Replies 4 ·
Replies
4
Views
2K
  • · Replies 6 ·
Replies
6
Views
3K
  • · Replies 4 ·
Replies
4
Views
3K
Replies
2
Views
2K