Is the Triple Integral in Cylindrical Coordinates Correctly Solved?

Click For Summary

Homework Help Overview

The discussion revolves around the evaluation of a triple integral in cylindrical coordinates. Participants are examining the setup of the integral, specifically the description of the region of integration and the limits for the variables involved.

Discussion Character

  • Exploratory, Assumption checking, Mathematical reasoning

Approaches and Questions Raised

  • Participants are questioning the correctness of the region E description, particularly the limits for r and z. There is also a discussion about the appropriate boundaries for integration, with some suggesting alternatives.

Discussion Status

Some participants have offered corrections and confirmations regarding the integral setup. There appears to be a mix of interpretations regarding the limits of integration, but no explicit consensus has been reached on the final formulation.

Contextual Notes

There are indications of uncertainty regarding the boundaries of integration and the overall description of the region being evaluated. Participants are also navigating through potential corrections and clarifications without a complete resolution.

daphnelee-mh
Messages
62
Reaction score
4
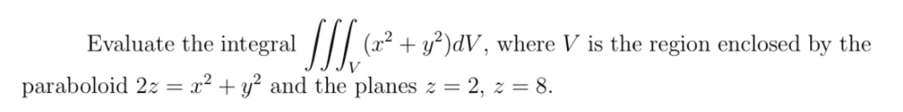
Homework Statement
(question is attached below)
Relevant Equations
x^2+y^2=r^2
dV=rdrdzdΘ
1593762965635.png


1593762987337.png


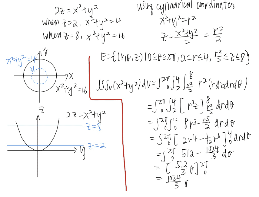
I am trying to solve it using cylindrical coordinates, but I am not sure whether the my description of region E is correct, whether is the value of r is 2 to 4, or have to evaluate the volume 2 times ( r from 0 to 4 minus r from 0 to 2), and whether is okay to take z from r^2/2 to 8
 
Physics news on Phys.org
[tex]\int_2^8 dz \int_0^{2z} 2\pi \rho^3 d\rho[/tex]
 
  • Like
Likes   Reactions: Delta2
May I know which method did you use? I have no idea of it, thanks
 
Find attached my handwriting.
 

Attachments

  • img20200703_17220936.png
    img20200703_17220936.png
    76.8 KB · Views: 196
  • Like
Likes   Reactions: daphnelee-mh
anuttarasammyak said:
[tex]\int_2^8 dz \int_0^{2z} 2\pi \rho^3 d\rho[/tex]
Shouldn't the boundary of integration be ##\sqrt{2z}## instead of ##2z##?
 
  • Like
Likes   Reactions: anuttarasammyak
Yes. Thanks for correction.
 
  • Like
Likes   Reactions: Delta2
1593775272308.png

Can you help to see whether this is correct ? Thank you
 
Yes it looks correct to me.
 
Thank you so much
 
  • #10
daphnelee-mh said:
View attachment 265726
Can you help to see whether this is correct ? Thank you
The digits of 1008 add to 9, so...
 
  • #11
haruspex said:
The digits of 1008 add to 9, so...
?
 
  • #12
daphnelee-mh said:
?
So 1008 is divisible by 3.
 
  • #13
haruspex said:
So 1008 is divisible by 3.
okay , thank you
 

Similar threads

  • · Replies 9 ·
Replies
9
Views
3K
  • · Replies 1 ·
Replies
1
Views
2K
  • · Replies 2 ·
Replies
2
Views
2K
Replies
6
Views
2K
  • · Replies 3 ·
Replies
3
Views
2K
  • · Replies 21 ·
Replies
21
Views
3K
  • · Replies 19 ·
Replies
19
Views
3K
  • · Replies 9 ·
Replies
9
Views
2K
  • · Replies 2 ·
Replies
2
Views
2K
  • · Replies 1 ·
Replies
1
Views
2K