Problems in understanding kinematics

  • Thread starter Thread starter arifle
  • Start date Start date
  • Tags Tags
    Kinematics
Click For Summary
SUMMARY

This discussion centers on the challenges faced in understanding kinematics, particularly in relation to omnidirectional robots. Key issues include confusion surrounding the derivation of equation (8) from the first paper, the interpretation of translational and tangential velocities, and the application of the rotation matrix R(theta) = [cos(theta) -sin(theta); sin(theta) cos(theta)]. Participants seek clarity on deriving the pure rolling constraint and the implications of the wheel's motion, including potential sideways sliding.

PREREQUISITES
  • Understanding of kinematic equations and their applications.
  • Familiarity with rotational matrices, specifically R(theta).
  • Knowledge of translational and tangential velocity concepts.
  • Basic principles of constraints in robotic motion.
NEXT STEPS
  • Research the derivation of kinematic equations for omnidirectional robots.
  • Study the application of rotation matrices in robotic motion analysis.
  • Explore the concept of pure rolling constraints in kinematics.
  • Investigate the relationship between velocity components and wheel motion in robotics.
USEFUL FOR

Students and professionals in robotics, mechanical engineering, and physics who are looking to deepen their understanding of kinematics and its applications in robotic systems.

arifle
Messages
2
Reaction score
0
TL;DR
wheeled robot kinematics and constraints
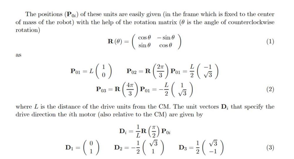
Hi, I tried to understand kinematics after having an omnidirectional roobt. Some problems stop me to go further. Here I upload some contents of different papers talking about kinematics. For the 1st three pictures, I don't know how equation (8) is from and I am little confused about translational and tangentianal velocities. I don't know why it mutiplys R(theta) again in equation (8).
66815456-dcb60900-ef6a-11e9-966b-2a5821ebff7e.jpg

66815457-dd4e9f80-ef6a-11e9-9469-29b2c29bf48d.jpg
66815458-dd4e9f80-ef6a-11e9-848a-4c41f34c2c68.jpg

For the 2nd paper, I cannot obtain the equation of v_trans,i. Also, I am not sure if the rotation matrix in this case is R(theta) = [cos(theta) -sin(theta); sin(theta) cos(theta)]. Can anyone please tell some details about the kinematics.
66815705-5948e780-ef6b-11e9-976c-843893a73e4d.jpg

At last, there is another lecture about kinematics. The problem is still about the constraints. How can I derive this pure rolling constraint.
QQ截图20191016114206.jpg
 
Engineering news on Phys.org
It looks to me as though equation (8) in the first paper is the dot product of the drive velocity with the direction vector of the drive's wheel, i.e. the component of the velocity in the direction of the wheel spins. I guess that would imply that the wheel is also sliding sideways. If ##\theta## is a function of time, then the extra multiplication by ##\mathbf R(\theta(t))## would give the direction of the wheel at time ##t##.
 
tnich said:
It looks to me as though equation (8) in the first paper is the dot product of the drive velocity with the direction vector of the drive's wheel, i.e. the component of the velocity in the direction of the wheel spins. I guess that would imply that the wheel is also sliding sideways. If ##\theta## is a function of time, then the extra multiplication by ##\mathbf R(\theta(t))## would give the direction of the wheel at time ##t##.
Thank you, tnich. How can we get the equation of the rolling constraint if we focus on the 3rd approach.
 

Similar threads

  • · Replies 1 ·
Replies
1
Views
3K
  • · Replies 6 ·
Replies
6
Views
3K
  • · Replies 9 ·
Replies
9
Views
2K
  • · Replies 6 ·
Replies
6
Views
1K
  • · Replies 11 ·
Replies
11
Views
3K
  • · Replies 3 ·
Replies
3
Views
1K
  • · Replies 4 ·
Replies
4
Views
1K
  • · Replies 9 ·
Replies
9
Views
2K
  • · Replies 24 ·
Replies
24
Views
2K
  • · Replies 25 ·
Replies
25
Views
3K