Proof -- motion under a central force in text Symon Mechanics

Click For Summary
SUMMARY

The discussion focuses on deriving the relationship between kinetic energy (T), potential energy (V), and total energy (E) for a particle under a central force in a three-dimensional space, specifically within the xy-plane using polar coordinates. The key equations involve the conservation of angular momentum and energy, which can be derived through integration. The provided resource, a chapter from a mechanics textbook, serves as a foundational reference for understanding these concepts in classical mechanics.

PREREQUISITES
  • Understanding of polar coordinates in physics
  • Familiarity with the concepts of kinetic and potential energy
  • Knowledge of conservation laws in mechanics
  • Basic integration techniques in calculus
NEXT STEPS
  • Study the derivation of conservation of angular momentum in polar coordinates
  • Explore the relationship between kinetic and potential energy in central force problems
  • Review the integration techniques used in classical mechanics
  • Examine the chapter on central forces in the recommended mechanics textbook
USEFUL FOR

Students of classical mechanics, physics educators, and anyone interested in the mathematical foundations of motion under central forces.

kylinsky
Messages
5
Reaction score
0
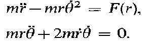
1. The derivation
In a 3-dim space,a particle is acted by a central force(the center of the force fixed in the origin) .we now take the motion entirely in the xy-plane and write the equations of the motion in polar coordinate
upload_2016-8-20_1-11-5.png

how can i derive from these equation that
T(kinetic energy)+V(potential)=E=
upload_2016-8-20_1-13-44.png
?
(sorry for my poor english)

Homework Equations

The Attempt at a Solution

 

Attachments

  • upload_2016-8-20_1-8-23.png
    upload_2016-8-20_1-8-23.png
    2.4 KB · Views: 519
  • upload_2016-8-20_1-10-46.png
    upload_2016-8-20_1-10-46.png
    1.2 KB · Views: 509
Physics news on Phys.org
kylinsky said:
1. The derivation
In a 3-dim space,a particle is acted by a central force(the center of the force fixed in the origin) .we now take the motion entirely in the xy-plane and write the equations of the motion in polar coordinate
View attachment 104870

how can i derive from these equation that
T(kinetic energy)+V(potential)=E=View attachment 104871?
(sorry for my poor english)

Read http://leandros.physics.uoi.gr/cm1/book-cm/ch6.pdf, for example.
You need to integrate both equations. The integral of the second one is conservation of angular momentum, that of the first one is conservation of energy.
 

Similar threads

  • · Replies 15 ·
Replies
15
Views
2K
  • · Replies 1 ·
Replies
1
Views
2K
Replies
2
Views
2K
  • · Replies 10 ·
Replies
10
Views
2K
  • · Replies 7 ·
Replies
7
Views
2K
  • · Replies 9 ·
Replies
9
Views
3K
  • · Replies 4 ·
Replies
4
Views
5K
  • · Replies 11 ·
Replies
11
Views
3K
  • · Replies 6 ·
Replies
6
Views
2K