Proof of ##\sqrt[n]{n!}## ≤ ##\frac{n+1}{2}##

  • Thread starter Thread starter chwala
  • Start date Start date
  • Tags Tags
    Proof
Click For Summary

Homework Help Overview

The discussion revolves around the proof of the inequality ##\sqrt[n]{n!} \le \frac{n+1}{2}##, which involves concepts from mathematical induction and logarithmic properties. Participants are exploring the validity of their approaches and reasoning related to this inequality.

Discussion Character

  • Mixed

Approaches and Questions Raised

  • Participants are attempting to prove the inequality using mathematical induction, questioning the correctness of their steps and the implications of introducing logarithms. Some express confusion about the inductive step and its formulation.

Discussion Status

There is ongoing exploration of various approaches to the proof, with some participants seeking clarification on their reasoning and others providing hints or alternative methods. Multiple interpretations of the inductive step are being discussed, and guidance has been offered regarding the use of logarithms and the structure of the proof.

Contextual Notes

Participants are working under the constraints of a homework problem, which may limit the information available for their proofs. There is a noted emphasis on understanding the inductive process and the proper application of mathematical principles.

chwala
Gold Member
Messages
2,841
Reaction score
428
Homework Statement
Using mathematical induction show that
##\sqrt[n]n!## ≤## \frac{n+1}{2}## where ## n## lies in ##z^+##
Relevant Equations
maths induction
##\sqrt[n]n!## ≤##\frac{n+1}{2}##​
##\frac {1}{n}## log [n!]= log##\frac{n+1}{2}##​
 
Physics news on Phys.org
is my thinking correct? then i can proceed to prove the base, hypothesis then proof of the problem...
 
1600325449606.png


this is my attempt on the question...are my steps correct?
 
In both cases you have the implication going in the wrong direction.

What you want to say is that
$$\sqrt[n]n! \le \frac{n+1}{2} \Leftrightarrow \log(\sqrt[n]n!) \le \log(\frac{n+1}{2})$$
And for the inductive step, you have simply written down what you want to show. You simply should never do that. For the inductive step, you either start with:
$$\frac 1 k \log(k!) \le \frac{k+1}{2}$$
And work from there. Or, you start with the expression:
$$\frac 1 {k+1} \log((k+1)!)$$
And work on that until you show that it is less than or equal to ##\frac{k+2}{2}##.

Starting with the inequality you are trying to prove is a bad habit that you must break.

PS This one looks quite tricky. I didn't use logs.
 
  • Like
Likes   Reactions: chwala
PeroK said:
In both cases you have the implication going in the wrong direction.

What you want to say is that
$$\sqrt[n]n! \le \frac{n+1}{2} \Leftrightarrow \log(\sqrt[n]n!) \le \log(\frac{n+1}{2})$$
And for the inductive step, you have simply written down what you want to show. You simply should never do that. For the inductive step, you either start with:
$$\frac 1 k \log(k!) \le \frac{k+1}{2}$$
And work from there. Or, you start with the expression:
$$\frac 1 {k+1} \log((k+1)!)$$
And work on that until you show that it is less than or equal to ##\frac{k+2}{2}##.

Starting with the inequality you are trying to prove is a bad habit that you must break.

PS This one looks quite tricky. I didn't use logs.
how did you solve it without logs...
 
PeroK said:
In both cases you have the implication going in the wrong direction.

What you want to say is that
$$\sqrt[n]n! \le \frac{n+1}{2} \Leftrightarrow \log(\sqrt[n]n!) \le \log(\frac{n+1}{2})$$
And for the inductive step, you have simply written down what you want to show. You simply should never do that. For the inductive step, you either start with:
$$\frac 1 k \log(k!) \le \frac{k+1}{2}$$
And work from there. Or, you start with the expression:
$$\frac 1 {k+1} \log((k+1)!)$$
And work on that until you show that it is less than or equal to ##\frac{k+2}{2}##.

Starting with the inequality you are trying to prove is a bad habit that you must break.

PS This one looks quite tricky. I didn't use logs.
i do not get , for my inductive step, what you are indicating i do is what i wrote in step 2 of my working...let me get this right when we introduce logs , aren't we supposed to introduce logs on both sides of the inequality? clarify
 
chwala said:
i do not get , for my inductive step, what you are indicating i do is what i wrote in step 2 of my working...clarify
You started the inductive step with:
$$\frac 1 {k+1} \log(k+1)! \le \log(\frac {k + 1 + 1}{2})$$
But that isn't something you can assume or start with. That is something you have to prove, starting with:
$$\frac 1 {k} \log(k!) \le \log(\frac {k + 1}{2})$$
 
chwala said:
how did you solve it without logs...
I started by showing that:
$$\sqrt[n]n! \le \frac{n+1}{2} \Leftrightarrow 2^n n! \le (n+1)^n$$
Can you take it from there?
 
  • Like
Likes   Reactions: chwala
PeroK said:
You started the inductive step with:
$$\frac 1 {k+1} \log(k+1)! \le \log(\frac {k + 1 + 1}{2})$$
But that isn't something you can assume or start with. That is something you have to prove, starting with:
$$\frac 1 {k} \log(k!) \le \log(\frac {k + 1}{2})$$

my inductive step is indicated as step 2,...in step 3 i was trying to show the proof...i hope i am clear...
 
  • #10
chwala said:
my inductive step is indicated as step 2,...in step 3 i was trying to show the proof...i hope i am clear...
What you're doing is not right. If you don't understand what I'm saying then you haven't understood the idea of induction.
 
  • #11
i agree, i have just seen your hint, pure maths is an area i am trying to study on my own...my area is applied maths...nevertheless i will keep trying to attempt. let me use your hint.
 
  • #12
am now getting...
1. for base case,
##2^n.n!≤ (n+1)^n##
on putting ## n=1##
##2.1≤2## holds
2. on the inductive step, let ##n=k##
##2^k. k!≤(k+1)^k##
3. now on the proof we let ##n=k+1##
for lhs, it follows that,
##2^{k+1}. (k+1)!≤ 2^k. 2^1. (k+1).k!##
##≤2. (k+1)^k.(k+1)##
##≤2.(k+1)^{k+1} ≤ (k+2)^{k+1}## on checking with values of ##z^+## the inequality is satisfied...
am i on the right track boss...
 
Last edited:
  • #13
i think i just have a problem with the language, i wanted to prove for ##n=k+1## ...instead of saying let ##n=k+1##, i have seen the error on my inequality...let me repost down here again...
 
  • #14
chwala said:
am now getting...
1. for base case,
##2^n.n!≤ (n+1)^n##
on putting ## n=1##
##2.1≤2## holds
2. on the inductive step, let ##n=k##
##2^k. k!≤(k+1)^k##
3. now on the proof we let ##n=k+1##
for lhs, it follows that,
##2^{k+1}. (k+1)!≤ 2^k. 2^1. (k+1).k!##
##≤2. (k+1)^k.(k+1)##
##≤2.(k+1)^{k+1} ≤ (k+2)^{k+1}## on checking with values of ##z^+## the inequality is satisfied...
am i on the right track boss...
Yes, on the right track. But that last step needs some work. For example, you could prove that last inequality by a separate induction.
 
  • #15
chwala said:
i think i just have a problem with the language, i wanted to prove for ##n=k+1## ...instead of saying let ##n=k+1##, i have seen the error on my inequality...let me repost down here again...
You're getting there, but that last bit is still tricky.
 
  • #16
am now getting...
1. for base case,
##2^n.n!≤ (n+1)^n##
on putting ## n=1##
##2≤2## holds
2. on the inductive step, let ##n=k##
##2^k. k!≤(k+1)^k##
3. now we want to prove if the inequality holds for ##n=k+1##
for lhs, it follows that,
##2^{k+1}. (k+1)! = 2^k. 2^1. (k+1).k!##
##=2. (k+1)^k.(k+1)##
##=2.(k+1)^{k+1} ≤ (k+2)^{k+1}## on checking with values of ##z^+## the inequality is satisfied...
am i on the right track boss...
 
  • #17
perok is my language there better, and does my final inequality make sense?
 
  • #18
chwala said:
perok is my language there better, and does my final inequality make sense?
Yes, but you should prove that last inequality using a separate induction. To help you note that:
$$2(k+1)^{k+1} = 2(\frac{k+1}{k+2})^{k+1} (k+2)^{k+1}$$
If you can show that:
$$\forall k: \ \ 2(\frac{k+1}{k+2})^{k+1} \le 1$$
Then you are done.
 
  • Like
Likes   Reactions: chwala
  • #19
i can see that, the ##(k+2)^{k+1}## on both sides of the inequality will cancel out and remain with your final inequality...
 
  • #20
chwala said:
i can see that, the ##(k+2)^{k+1}## on both sides of the inequality will cancel out and remain with your final inequality...
It's this you have to prove:
$$\forall k: \ \ 2(\frac{k+1}{k+2})^{k+1} \le 1$$
 
  • #21
wow, looks like some more work...
##2(k+1)^{k+1}≤ (k+2)^{k+1}##
 
  • #22
chwala said:
wow, looks like some more work...
##2(k+1)^{k+1}≤ (k+2)^{k+1}##
Hint: binomial theorem.
 
  • #23
##2[k^{k+1}+ (k+1).k^k+[k.(k+1)^{k-1}]/2+...≤ k^{k+1}+(k+1)k^k. 2+[k(k+1)k^{k-1}.2^2]/2##+...
 
  • #24
chwala said:
##2[k^{k+1}+ (k+1).k^k+[k.(k+1)^{k-1}]/2+...≤ k^{k+1}+(k+1)k^k. 2+[k(k+1)k^{k-1}.2^2]/2##+...
What about:
$$2(k+1)^{k+1}≤ (k+2)^{k+1} \Leftrightarrow 2 \le (\frac{k+2}{k+1})^{k+1} = (1 + \frac 1 {k+1})^{k+1}$$
 
  • #25
Wawawawawawa maths is not for the faint hearted...let me look at this tomorrow, now 10.30pm needto take a nap. Thanks perok we talk tomorrow
 
  • #26
perok, i am just looking at other examples on induction and there seems not to be a general way of showing the proofs...my question is, (for this particular problem ) is it that we have to prove it using the way you have advised? what is wrong by me using post 16, by substituting directly for ##k## values for ##z^+## and showing that the inequality is satisfied.
can you confirm this other solution posted by my colleague below...
 
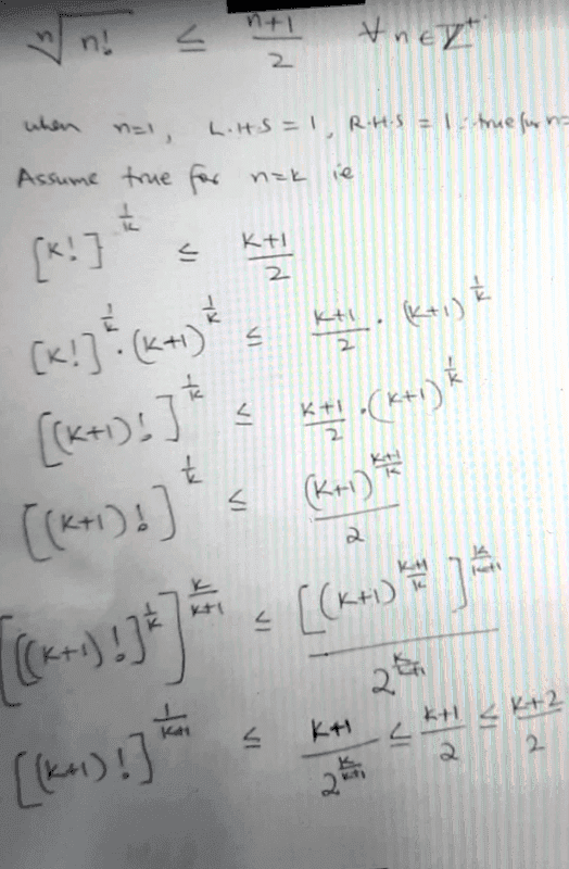
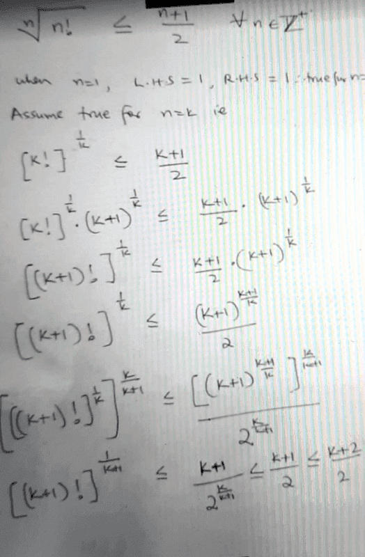
  • #27
1600377290321.png


is this correct, posted by a colleague...meanwhile i will try and finish on my working from where i had left yesterday...
 
  • #28
chwala said:
View attachment 269613

is this correct, posted by a colleague...meanwhile i will try and finish on my working from where i had left yesterday...
What do you think? What part of that solution do you not follow? Do you see anything wrong in the last few steps?

Why don't you check that last line for ##k = 1##?
 
  • #29
PeroK said:
What do you think? What part of that solution do you not follow? Do you see anything wrong in the last few steps?

Why don't you check that last line for ##k = 1##?

ok just to respond to your question, substituting ##k=1##, will yield,
##2^{0.5}≤2^{0.5}≤1≤1.5## which clearly is not correct...
 
  • #30
chwala said:
ok just to respond to your question, substituting ##k=1##, will yield,
##2^{0.5}≤2^{0.5}≤1≤1.5## which clearly is not correct...
Do you see what he did wrong?
 
  • Like
Likes   Reactions: chwala

Similar threads

  • · Replies 9 ·
Replies
9
Views
2K
  • · Replies 9 ·
Replies
9
Views
3K
Replies
5
Views
2K
  • · Replies 17 ·
Replies
17
Views
3K
  • · Replies 6 ·
Replies
6
Views
3K
Replies
20
Views
3K
  • · Replies 1 ·
Replies
1
Views
2K
  • · Replies 8 ·
Replies
8
Views
5K
  • · Replies 13 ·
Replies
13
Views
2K
  • · Replies 1 ·
Replies
1
Views
2K