Pytels Dynamics 12.10: parabolic path, velocity, acceleration

Click For Summary

Homework Help Overview

The problem involves an automobile descending a hill with a parabolic cross-section, where the horizontal component of the velocity is constant. Participants are tasked with determining the speed of the automobile in terms of its horizontal position and the magnitude and direction of its acceleration.

Discussion Character

  • Exploratory, Mathematical reasoning, Assumption checking

Approaches and Questions Raised

  • Some participants explore the application of mechanical energy conservation, while others suggest that the problem is primarily a calculus application involving velocity components.
  • There is discussion about the correct differentiation of the vertical velocity component and the application of the chain rule.
  • Participants question the assumptions made regarding the nature of the problem and the relationships between the variables involved.

Discussion Status

The discussion is ongoing, with participants providing hints and guidance on differentiation and the application of calculus. There are differing interpretations of the problem setup, and participants are actively seeking clarification on their approaches and calculations.

Contextual Notes

Participants note that the problem is positioned early in the textbook, which may influence the methods and concepts available for use. There is also mention of a discrepancy between participants' results and the solutions provided in the textbook.

Alexanddros81
Messages
177
Reaction score
4

Homework Statement


An automobile goes down a hill that has the parabolic cross section shown. (see image attached)
Assuming that the horizontal component of the velocity vector has a constant
magnitude v0, determine (a) the expression for the speed of the automobile in
terms of x; and (b) the magnitude and direction of the acceleration.

Homework Equations


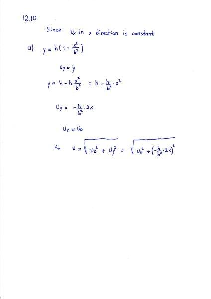
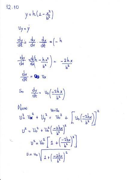
y=h(1-x2/b2)

The Attempt at a Solution


I have attached an image

It gives a solution in (a) v0√1+(2hx/b2)2
and (b) 2hv02/b2

How do I proceed in (a) to come to the given solution?
 

Attachments

  • Pytel_Dynamics_12_10a.jpg
    Pytel_Dynamics_12_10a.jpg
    18.8 KB · Views: 654
  • Pytel_Dynamics_12_10b.jpg
    Pytel_Dynamics_12_10b.jpg
    8.1 KB · Views: 670
Physics news on Phys.org
Have you considered mechanical energy conservation?
 
Conservation of mechanical energy is introduced later in pages 148-149.
This problem is at the first pages(pg. 23) of Dynamics 2nd edition under the Rectangular Coordinates section.
 
Actually, I was off the mark initially. This is not an energy conservation problem, but a simple application of calculus. You are looking for ##v = \sqrt{v_x^2+v_y^2}##. You know that ##v_x = v_0##, that ##y = h(1-x^2/b^2)## and that ##v_y = dy/dt##. So ...
 
so for vy = dy/dt i get vy = - (h/b2)2x

and v = sqrt(v02 + (- (h/b2)2x)2)

I don't know how to proceed then
 
Alexanddros81 said:
so for vy = dy/dt i get vy = - (h/b2)2x
You did not apply the chain rule of differentiation carefully enough. Try again. Remember that x depends on time.
 
Ok. What I get is different from the given soution at the back of the book.
It is given ##v = v_0 \sqrt {1 + \left( \frac {2hx} {b^2}\right) ^2}##
what I get is ##v = v_0 \sqrt {1 + \left( \frac {-2hx} {b^2}\right) ^2}##
Check also my upload
 

Attachments

  • Pytel_Dynamics014.jpg
    Pytel_Dynamics014.jpg
    17.3 KB · Views: 592
##\left( -\frac{2hx}{b^2} \right)^2=\left( (-1)\frac{2hx}{b^2} \right)^2=(-1)^2\left( \frac{2hx}{b^2} \right)^2=\left( \frac{2hx}{b^2} \right)^2##
 
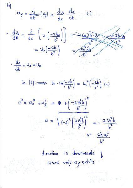
Any hint in finding the magnitude of acceleration?
It should be ##\frac {2hv_0^2} {b^2}##

I have done the ##a_y=\frac {d} {dt}\left( v_y\right) = \frac {d} {dt} \left [v_0\left(\frac {-2hx} {b^2}\right)\right]##. How do i proceed from here?

and ##a_x## should be zero since ##v_x## is constant
 
  • #10
Alexanddros81 said:
Any hint in finding the magnitude of acceleration?
It should be ##\frac {2hv_0^2} {b^2}##

I have done the ##a_y=\frac {d} {dt}\left( v_y\right) = \frac {d} {dt} \left [v_0\left(\frac {-2hx} {b^2}\right)\right]##. How do i proceed from here?

and ##a_x## should be zero since ##v_x## is constant
Apply Chain Rule, (see @kuruman's Post#6)
 
  • #11
It should be as shown at the attached file
 

Attachments

  • Pytel_Dynamics015.jpg
    Pytel_Dynamics015.jpg
    24.4 KB · Views: 597

Similar threads

  • · Replies 47 ·
2
Replies
47
Views
4K
Replies
3
Views
3K
  • · Replies 6 ·
Replies
6
Views
2K
Replies
13
Views
2K
Replies
2
Views
4K
  • · Replies 11 ·
Replies
11
Views
3K
  • · Replies 3 ·
Replies
3
Views
2K
  • · Replies 9 ·
Replies
9
Views
1K
Replies
6
Views
2K
  • · Replies 1 ·
Replies
1
Views
3K