Question about Constrained Differentials

  • Context: Undergrad 
  • Thread starter Thread starter cwill53
  • Start date Start date
  • Tags Tags
    Differentials
Click For Summary

Discussion Overview

The discussion revolves around the concept of constrained differentials in the context of multivariable calculus, specifically focusing on a problem involving total differentials and the treatment of variables in a given example. Participants are examining the implications of setting certain variables to zero and the correctness of expressions derived in the example.

Discussion Character

  • Debate/contested
  • Technical explanation
  • Mathematical reasoning

Main Points Raised

  • Some participants question why the variable z was set to zero in the total differential equation dw, expressing confusion over this decision.
  • Others argue that z is treated as a constant from the perspective of the differential operator dx, which does not depend on x.
  • There is a suggestion that the authors may have intended to calculate the partial derivative with respect to x while holding z constant at zero, but this is not explicitly stated.
  • Participants express uncertainty about the correctness of the expression for dy, with some asserting it should be negative.
  • One participant points out that the problem does not define z clearly, leading to further confusion about its role in the equations presented.
  • Some participants propose that the error may stem from an implicit assumption that z equals zero due to the constraint given in the problem.
  • There is a general sentiment that the material being discussed may be unreliable or poorly presented, contributing to the confusion.

Areas of Agreement / Disagreement

Participants do not reach a consensus on the treatment of z or the correctness of the expressions derived. Multiple competing views remain regarding the assumptions made in the problem and the implications of setting z to zero.

Contextual Notes

There are limitations in the clarity of definitions and assumptions regarding the variable z, as well as unresolved questions about the correctness of the mathematical steps taken in the example.

cwill53
Messages
220
Reaction score
40
https://ocw.mit.edu/courses/mathematics/18-02sc-multivariable-calculus-fall-2010/2.-partial-derivatives/part-c-lagrange-multipliers-and-constrained-differentials/session-42-constrained-differentials/MIT18_02SC_pb_42_comb.pdf

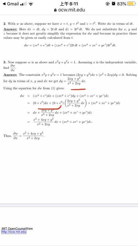
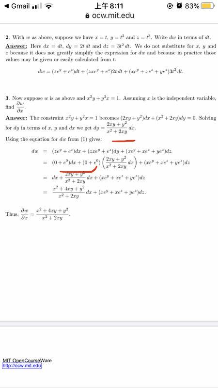
In part 3 of this example, after dy was expressed in terms of dx, can someone explain to me why z in the total differential equation dw was set to zero? It doesn't make sense to me at the moment.
 
  • Like
Likes   Reactions: BvU
Physics news on Phys.org
@BvU Did they make a mistake here?

Also, shouldn’t dy be negative?
3CF209D6-B746-4B21-B3BD-F26FD849FC19.png
 
Last edited:
cwill53 said:
https://ocw.mit.edu/courses/mathematics/18-02sc-multivariable-calculus-fall-2010/2.-partial-derivatives/part-c-lagrange-multipliers-and-constrained-differentials/session-42-constrained-differentials/MIT18_02SC_pb_42_comb.pdf

In part 3 of this example, after dy was expressed in terms of dx, can someone explain to me why z in the total differential equation dw was set to zero? It doesn't make sense to me at the moment.
I don't see anything set to zero. I see ##ze^y\,dx = c\,dx = 0##. ##ze^y## is a constant ##c## from the point of view of the differential operator ##dx## since it does not depend on ##x##.
 
  • Like
Likes   Reactions: cwill53
cwill53 said:
https://ocw.mit.edu/courses/mathematics/18-02sc-multivariable-calculus-fall-2010/2.-partial-derivatives/part-c-lagrange-multipliers-and-constrained-differentials/session-42-constrained-differentials/MIT18_02SC_pb_42_comb.pdf

In part 3 of this example, after dy was expressed in terms of dx, can someone explain to me why z in the total differential equation dw was set to zero? It doesn't make sense to me at the moment.

I can't make much sense of that either. Perhaps they forgot to say that they wanted ##\frac{\partial w}{\partial x} \big{|}_{z = 0}##. That's what they seem to have calculated anyway.
 
  • Like
Likes   Reactions: cwill53
fresh_42 said:
I don't see anything set to zero. I see ##ze^y\,dx = c\,dx = 0##. ##ze^y## is a constant ##c## from the point of view of the differential operator ##dx## since it does not depend on ##x##.
195A1A6A-1790-4FE8-9B0D-7D101A2B3757.jpeg

The way z is set to zero here doesn’t make sense to me. Also the fact that dy isn’t negative.
 
cwill53 said:
Also the fact that dy isn’t negative.

That looks plain wrong.
 
  • Like
Likes   Reactions: cwill53
PeroK said:
I can't make much sense of that either. Perhaps they forgot to say that they wanted ∂w∂x|z=0. That's what they seem to have calculated anyway.
Why would they even want that though lol? Is it true that if I didn’t set ##\frac{\partial w}{\partial x}## and ##\frac{\partial w}{\partial y}##equal to zero, that I would get the correct answer? I also don't even see the point in this as

$$dw=\frac{\partial w}{\partial x}dx+\frac{\partial w}{\partial y}dy+\frac{\partial w}{\partial z}dz$$

##\frac{\partial w}{\partial x}## is already a term here.
 
cwill53 said:
View attachment 268306
The way z is set to zero here doesn’t make sense to me. Also the fact that dy isn’t negative.
Didn't see that one. Yes, t´his looks wrong as written. I agree with @PeroK that it probably should have been ##\left. \dfrac{d}{dx}\right|_{z=0}## instead.
 
  • Like
Likes   Reactions: cwill53
fresh_42 said:
Didn't see that one. Yes, t´his looks wrong as written. I agree with @PeroK that it probably should have been ##\left. \dfrac{d}{dx}\right|_{z=0}## instead.
I’m still a bit confused by that. Why would they need to do this at all?
 
  • #10
cwill53 said:
I’m still a bit confused by that. Why would they need to do this at all?
How is ##z## defined in (1)? It is not defined in (3), and in (2) not independent. So what is it?
And I have trouble to read these tiny formulas. Type it out please.
 
  • #11
fresh_42 said:
How is ##z## defined in (1)? It is not defined in (3), and in (2) not independent. So what is it?
And I have trouble to read these tiny formulas. Type it out please.
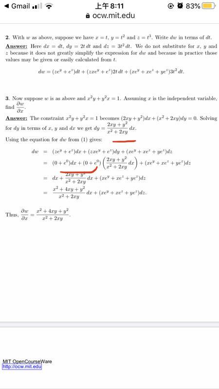
So, (1) says

1. Find the total differential for ##w=zxe^{y}+xe^{z}+ye^{z}##.
$$dw=(ze^{y} + e^{z})dx + (zxe^{y} + e^{z})dy + (xe^{y} + xe^{z} + ye^{z})dz$$

(2) asks us to write dw in terms of dt. That part is unrelated to the confusion.

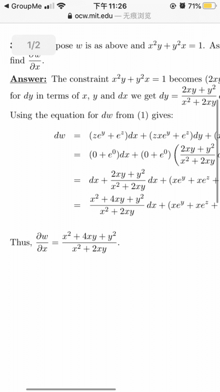
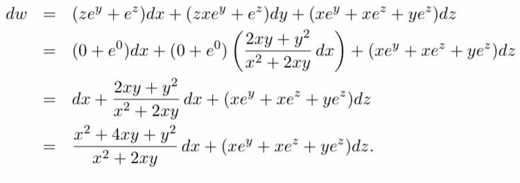
3. Now suppose ##w## is as above and ##x^{2}y+y^{2}x=1.## Assuming x is the independent variable, find ##\frac{\partial w}{\partial x}##.

They proceed to say the following (after mistakenly writing ##
dy=\frac{2xy+y^{2}}{x^{2}+2xy}dx## instead of ##dy=-\frac{2xy+y^{2}}{x^{2}+2xy}dx##):
45F89915-7973-419A-9F70-6568FF52F215.jpeg
 
  • #12
@fresh_42 They end up arriving at

$$\frac{\partial w}{\partial x}=\frac{x^{2}+4xy+y^{2}}{x^{2}+2xy}$$
 
  • #13
I think the given solution is incorrect. Nowhere is given that ##z=0##.
 
  • Like
Likes   Reactions: cwill53
  • #14
cwill53 said:
What I wrote is all the problem says, z is not specifically defined to be anything.
I would make the assumption that that page is unreliable. It specifically sets ##z = 0## that is clear.
 
  • Like
Likes   Reactions: cwill53
  • #15
cwill53 said:
@fresh_42 They end up arriving at

$$\frac{\partial w}{\partial x}=\frac{x^{2}+4xy+y^{2}}{x^{2}+2xy}$$
I have had another look on the original pdf, and meanwhile I think that the error comes in with the constraint. Maybe they implicitly meant by ##x^2y+y^2x=1## that ##z=0##. That's the only way this all makes sense to me.
 
  • Like
Likes   Reactions: cwill53
  • #16
fresh_42 said:
I have had another look on the original pdf, and meanwhile I think that the error comes in with the constraint. Maybe they implicitly meant by ##x^2y+y^2x=1## that ##z=0##. That's the only way this all makes sense to me.
I suspect whoever wrote that page confused ##dz = 0## to get the partial derivative wrt ##x## and ##z = 0##. In any case, I can't see much value in trying to make sense of poor material.
 
  • Like
Likes   Reactions: jim mcnamara, cwill53 and fresh_42

Similar threads

  • · Replies 9 ·
Replies
9
Views
2K
  • · Replies 2 ·
Replies
2
Views
1K
  • · Replies 3 ·
Replies
3
Views
1K
  • · Replies 3 ·
Replies
3
Views
2K
  • · Replies 4 ·
Replies
4
Views
3K
  • · Replies 13 ·
Replies
13
Views
3K
  • · Replies 3 ·
Replies
3
Views
2K
  • · Replies 11 ·
Replies
11
Views
3K
  • · Replies 22 ·
Replies
22
Views
3K
  • · Replies 3 ·
Replies
3
Views
2K