Question about dilaton monopole interaction derivation

Click For Summary

Discussion Overview

The discussion centers on the derivation of the dilaton monopole interaction as presented by Gibbons and Maeda in their work on higher-dimensional theories with dilaton fields. Participants are exploring the reasoning behind the introduction of specific variables and the relationships between them in the context of the action and equations provided in the paper.

Discussion Character

  • Technical explanation
  • Conceptual clarification
  • Debate/contested

Main Points Raised

  • One participant seeks clarification on the introduction of ##\Psi## to define ##\Sigma## in the derivation of the dilaton monopole interaction.
  • Another participant notes that the coefficient of (∇φ)² in equation 2.1 is minus the square of the field redefinition factor, suggesting that the authors aim for a dilaton kinetic term with a coefficient of 1.
  • A follow-up question is raised regarding how ##\Sigma## is derived from ##\Psi##, speculating whether the asymptotic behavior of ##\Psi## was considered in defining ##\Sigma##.
  • One participant draws an analogy between equations 4.7, 4.8 and previous equations 4.5, 4.4 that describe electric charge and electrostatic potential, implying a similar reasoning might apply.

Areas of Agreement / Disagreement

Participants express differing views on the reasoning behind the derivation steps, indicating that multiple interpretations and understandings of the equations and their implications exist.

Contextual Notes

There are unresolved questions regarding the assumptions made in the derivation process, particularly concerning the definitions and relationships between ##\Psi## and ##\Sigma##, as well as the implications of the coefficients in the equations discussed.

user1139
Messages
71
Reaction score
8
TL;DR
Please see below.
I am trying to understand how one derives the dilaton monopole interaction. In "Black holes and membranes in higher-dimensional theories with dilaton fields", Gibbons and Maeda mentioned that one could obtain the dilaton monopole interaction as such:

Dilaton monopole interaction derivation by Gibbons and Maeda.


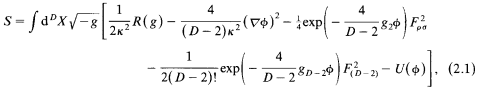
where the action is given by

The action.


However, I do not understand their reasoning for introducing ##\Psi## to define ##\Sigma## in order to derive Eq. (4.8). Could someone explain it?
 
Physics news on Phys.org
If you look at the coefficient of (∇φ)2 in their equation 2.1, you'll see it's minus the square of the field redefinition factor. So they must be aiming for a dilaton kinetic term with a coefficient of 1.
 
mitchell porter said:
If you look at the coefficient of (∇φ)2 in their equation 2.1, you'll see it's minus the square of the field redefinition factor. So they must be aiming for a dilaton kinetic term with a coefficient of 1.
Still, how do they get ##\Sigma## from ##\Psi##? Did they just consider the asymptotic behaviour of ##\Psi## and define ##\Sigma## as such?
 
4.7, 4.8 are the same form as 4.5, 4.4, which describe electric charge and electrostatic potential. The reasoning would appear to be exactly analogous.
 

Similar threads

  • · Replies 12 ·
Replies
12
Views
2K
  • · Replies 3 ·
Replies
3
Views
4K
  • · Replies 7 ·
Replies
7
Views
6K
  • · Replies 10 ·
Replies
10
Views
2K
  • · Replies 0 ·
Replies
0
Views
4K
  • · Replies 11 ·
Replies
11
Views
5K
  • · Replies 34 ·
2
Replies
34
Views
5K
  • · Replies 4 ·
Replies
4
Views
2K
  • · Replies 5 ·
Replies
5
Views
2K
  • · Replies 20 ·
Replies
20
Views
3K