Resultant Force and its Components

Click For Summary

Homework Help Overview

The discussion revolves around determining the values of P and Θ given the resultant force of a system of forces, specifically R = 425 j lbs. Participants are exploring the relationships between the components of forces and their resultant.

Discussion Character

  • Exploratory, Assumption checking, Problem interpretation

Approaches and Questions Raised

  • Participants discuss setting up equations based on the components of forces, with some suggesting the use of the quadratic formula due to expected multiple solutions for P and Θ. Others express confusion about progressing from two equations with two unknowns.

Discussion Status

There is ongoing exploration of methods to solve the equations, with some participants providing guidance on algebraic manipulation and the use of trigonometric identities. Multiple interpretations of the problem are being considered, but no consensus has been reached regarding the number of solutions.

Contextual Notes

Participants note the importance of the original force diagram and the requirement to decompose vectors into components. There are mentions of specific values from a solution manual, which may influence the discussion but are not being directly accepted as definitive answers.

Auburn2017
Messages
59
Reaction score
1

Homework Statement


The Resultant of the system of forces shown is R = 425 j lbs. Determine the possible values of P and Θ.

Homework Equations


R = F1 +F2+P

The Attempt at a Solution


I ended up with two equations, one in the "i" direction and one in the "j" direction. I think you have to use the quadratic formula because I know that you will get two values for P and two values for Θ. Thanks!
 

Attachments

  • delete me.jpg
    delete me.jpg
    44 KB · Views: 512
Physics news on Phys.org
So what's the problem? What specifically?
 
BiGyElLoWhAt said:
So what's the problem? What specifically?
The Problem is to find P and Θ. You will need to refer to the figure I attached on the original post. I get two equation but then I can't get past that point.
 
2 equations, 2 unknowns? Solve for one of the variables and use substitution.
 
Last edited:
Example:
##a = x + y##
##b = 2x - 3y##
Solve for x in the first equation:
##x= a- y##
Sub it into the second equation for x
##b = 2(a-y) - 3y##
Then solve for y.
Once you have found y, plug it into one of the equations and solve for x.
 
BiGyElLoWhAt said:
2 equations, 2 unknowns? Solve for one of the variables and use substation.
Or substitution.
 
  • Like
Likes   Reactions: BiGyElLoWhAt
:sorry:... fixed
 
2 Equation and 2 unknowns should result in an answer for P and an answer for Θ. The solution has two answers for P and two answers for Θ.
 
Can someone please just solve this problem?
 
  • #10
That's against policy, sorry. I'm not seeing multiple solutions. It's kind of a mess, but I only see one solution for theta. Use the trig identity sin(theta) = cos(theta +90) or vice versa cos(theta) = sin(theta - 90), then factor, and solve.
 
  • #11
BiGyElLoWhAt said:
That's against policy, sorry. I'm not seeing multiple solutions. It's kind of a mess, but I only see one solution for theta. Use the trig identity sin(theta) = cos(theta +90) or vice versa cos(theta) = sin(theta - 90), then factor, and solve.
Yeah that's what I have done and only got one solution. Unfortunately the solution manual says that P=545.46 and 53.89, Θ=33.30° and -87.44°
 
  • #12
Auburn2017 said:
Yeah that's what I have done and only got one solution. Unfortunately the solution manual says that P=545.46 and 53.89, Θ=33.30° and -87.44°
If you take the original force diagram and decompose the vectors shown into components, you should obtain two equations in P and θ. You know the x-component of the resultant is equal to 0, while the y-component must equal 425 lbs. Further algebraic manipulation yields and equation in sin θ and another in cos θ. By squaring and adding these two equations together, one can use the Pythagorean relation to eliminate θ, leaving a quadratic in P, which of course gives two values as solutions.

By substituting these values of P back into one of the earlier equations involving θ, you can obtain a pair of angles which are also solutions, but only one angle will work with a given solution to P, while the other angle works with the other solution to P. This is why there are four answers given.

Now, instead of dancing around this problem, if you would like to share your work towards solution, we may be able to see where you went wrong in your original attempt.
 
  • Like
Likes   Reactions: Chestermiller
  • #13
SteamKing said:
If you take the original force diagram and decompose the vectors shown into components, you should obtain two equations in P and θ. You know the x-component of the resultant is equal to 0, while the y-component must equal 425 lbs. Further algebraic manipulation yields and equation in sin θ and another in cos θ. By squaring and adding these two equations together, one can use the Pythagorean relation to eliminate θ, leaving a quadratic in P, which of course gives two values as solutions.

By substituting these values of P back into one of the earlier equations involving θ, you can obtain a pair of angles which are also solutions, but only one angle will work with a given solution to P, while the other angle works with the other solution to P. This is why there are four answers given.

Now, instead of dancing around this problem, if you would like to share your work towards solution, we may be able to see where you went wrong in your original attempt.

This is what I have gotten so far.
 

Attachments

  • delete me 2.JPG
    delete me 2.JPG
    35.7 KB · Views: 526
  • #14
Auburn2017 said:
This is what I have gotten so far.
This looks good.

Re-write the two final equations so that sin θ and cos θ are on one side with P and the rest on the other side of the equals.

Square the LHSides and eliminate θ using the Pythagorean relation, sin2 θ + cos2 θ = 1.

After that, it becomes a matter of collecting the remaining terms and writing a quadratic equation in P.
 
  • #15
SteamKing said:
This looks good.

Re-write the two final equations so that sin θ and cos θ are on one side with P and the rest on the other side of the equals.

Square the LHSides and eliminate θ using the Pythagorean relation, sin2 θ + cos2 θ = 1.

After that, it becomes a matter of collecting the remaining terms and writing a quadratic equation in P.

So you are saying I can square both sides and then set the RHSides equal to one? and then solve for P using quadratic equation?
 
  • #16
SteamKing said:
This looks good.

Re-write the two final equations so that sin θ and cos θ are on one side with P and the rest on the other side of the equals.

Square the LHSides and eliminate θ using the Pythagorean relation, sin2 θ + cos2 θ = 1.

After that, it becomes a matter of collecting the remaining terms and writing a quadratic equation in P.
I did that and got some extremely small numbers for P
 
  • #17
Auburn2017 said:
I did that and got some extremely small numbers for P
Then you made some mistakes somewhere in you calculations.
Auburn2017 said:
So you are saying I can square both sides and then set the RHSides equal to one? and then solve for P using quadratic equation?
Not necessarily. You have one equation in sin θ and another equation in cos θ. By squaring these two equations and adding them together, you wind up with a third equation where you have something like A (sin2 θ + cos2 θ) = RHS with P terms. sin2 θ + cos2 θ = 1 by the Pythagorean relation, and the terms involving θ drop out.
 
  • #18
Auburn2017 said:
So you are saying I can square both sides and then set the RHSides equal to one? and then solve for P using quadratic equation?
From your work:
upload_2016-6-28_18-37-56.png


Isolate the terms with sin(θ) and cos(θ) on one side of each equation. You can leave each with a coefficient of 275 .

You may want leave .866 as ##\displaystyle\ \frac{\sqrt3} {2}\ .##

Be careful in squaring the other side. It will have two terms. Remember: ##\ (a-b)^2=a^2-2ab+b^2\ .##
 
  • #19
Another method of solution you may want to consider can be done using a graphing calculator, such as a TI-83 or TI-84 .

Solve each equation for P.
The first equation gives P as some function of θ, the other equation gives P as some other function of θ.

With the TI calculators, P of the first equation will be treated as Y1 , and P of the second equation will be treated as Y2. In both cases use X in place of θ .

I suppose you should leave the calculator in DEGREE mode.
Use the trig ZOOM to set the X scale. You may need to fiddle with the Y scale. It looks like the Y range should be about ±750 .

Once the graphs look good, use the intersect feature of the calculator.
 
  • #20
SteamKing said:
Then you made some mistakes somewhere in you calculations.

Not necessarily. You have one equation in sin θ and another equation in cos θ. By squaring these two equations and adding them together, you wind up with a third equation where you have something like A (sin2 θ + cos2 θ) = RHS with P terms. sin2 θ + cos2 θ = 1 by the Pythagorean relation, and the terms involving θ drop out.

I got here and then I add the RHSide together correct? and set that equal to 1? Because when I do that you start getting extremely small numbers...
 

Attachments

  • delete me 3.jpg
    delete me 3.jpg
    27.5 KB · Views: 508
  • #21
Another way to solve this is to solve for P in the j equation, and substitute the result into the i equation. You then have an equation involving the sum of terms involving cosine and sine. These can be combined into a single term by using the sine of the sum of two angles trig formula.

Chet
 
  • #22
Auburn2017 said:
I got here and then I add the RHSide together correct? and set that equal to 1? Because when I do that you start getting extremely small numbers...
delete-me-3-jpg.102605.jpg
What did you do with these in order to get your very small numbers?
 
  • #23
SammyS said:
What did you do with these in order to get your very small numbers?
I carried out the squared operation on the RHS for both equations. Then I added them together and set it equal to one since sin2Θ + cos2Θ=1. Then I solved for P
 
  • #24
Auburn2017 said:
I carried out the squared operation on the RHS for both equations. Then I added them together and set it equal to one since sin2Θ + cos2Θ=1. Then I solved for P
It may have been easier to leave the 275 as coefficient of cos(θ) and sin(θ) .

At any rate, can you show what you get by squaring the right hand sides before you add them?
 
  • #25
SammyS said:
It may have been easier to leave the 275 as coefficient of cos(θ) and sin(θ) .

At any rate, can you show what you get by squaring the right hand sides before you add them?

Yes I can. How does leaving the 275 as a coefficient change the procedure?
 

Attachments

  • delete me 4.jpg
    delete me 4.jpg
    40 KB · Views: 493
  • #26
Auburn2017 said:
Yes I can. How does leaving the 275 as a coefficient change the procedure?
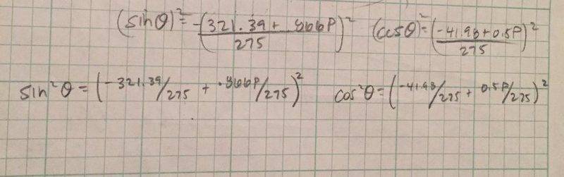
upload_2016-6-28_20-44-57.png


Adding those should give something like:
##\displaystyle 1=( 321.39^2+ 41.98^2-2((321.39)(.866)+(41.98)(0.5))P+P^2)/275^2 ##​
or its equivalent..
 
  • #27
SammyS said:
View attachment 102608

Adding those should give something like:
##\displaystyle 1=( 321.39^2+ 41.98^2-2((321.39)(.866)+(41.98)(0.5))P+P^2)/275^2 ##​
or its equivalent..
I do not see how your last term there would just be P2?
SammyS said:
View attachment 102608

Adding those should give something like:
##\displaystyle 1=( 321.39^2+ 41.98^2-2((321.39)(.866)+(41.98)(0.5))P+P^2)/275^2 ##​
or its equivalent..
Thank You! Can I not just multiple both sides by 275^2 and then subtract that number from the left side so then I will have 3 terms added equal to zero?
 
  • #28
Auburn2017 said:
I do not see how your last term there would just be P2?

Thank You! Can I not just multiple both sides by 275^2 and then subtract that number from the left side so then I will have 3 terms added equal to zero?

I FINALLY GOT THE ANSWER! THANK YOU SO SO MUCH!
 
  • #29
Auburn2017 said:
I do not see how your last term there would just be P2?

Thank You! Can I not just multiple both sides by 275^2 and then subtract that number from the left side so then I will have 3 terms added equal to zero?
##\displaystyle \left(\frac12 \right)^2+ \left( \frac{\sqrt{3}}{2} \right)^2=1##
 
  • #30
Here's the alternate method I alluded to in post #21:

$$-321.39-275\sin \theta+\frac{\sqrt{3}}{2}P=0\tag{1}$$
$$383.02-275\cos \theta + \frac{1}{2}P=425\tag{2}$$
Multiplying Eqn. 2 by ##\sqrt{3}## and subtracting yields:
$$383.02\sqrt{3}+321.39+550\left[\frac{1}{2}\sin \theta-\frac{\sqrt{3}}{2}\cos \theta\right]=425\sqrt{3}\tag{3}$$
Rearranging yields:
$$383.02\sqrt{3}+321.39-425\sqrt{3}=248.68=550(\cos \theta \cos 30-\sin\theta \sin 30)=550 \cos(\theta + 30)$$
Therefore, $$\cos(\theta + 30)=\frac{248.68}{550}=0.452$$
 
  • Like
Likes   Reactions: SammyS

Similar threads

  • · Replies 20 ·
Replies
20
Views
4K
  • · Replies 26 ·
Replies
26
Views
2K
Replies
14
Views
2K
  • · Replies 11 ·
Replies
11
Views
2K
  • · Replies 5 ·
Replies
5
Views
3K
Replies
17
Views
3K
  • · Replies 25 ·
Replies
25
Views
3K
  • · Replies 18 ·
Replies
18
Views
2K
Replies
3
Views
1K
  • · Replies 30 ·
2
Replies
30
Views
2K